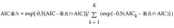
モデルのあてはめが終わると、レポートウィンドウに「モデルの比較」レポートが表示されます。このレポートは、「モデルの比較」表とモデルのプロットで構成されます。新しいモデルをあてはめるたびに、「モデルの比較」表に別の色を使った新しい行が追加されます。「モデルの比較」表は、各モデルの適合度統計量をまとめたもので、同じ時系列にあてはめた複数のモデルを比較できます。デフォルトでは、モデルはAIC統計量の降順に並べられています。モデルを別の統計量でソートするには、「モデルの比較」表の任意の列を右クリックし、[列の値で並べ替え]を選択します。各適合度統計量の定義については、「モデルの要約」表を参照してください。「モデルの比較」表には「重み」という統計量も表示されます。この「重み」は「AIC 重み」であり、AICの大きさを確率の形式に正規化したものです。「AIC重み」は、次式で計算されます。

Kはモデルの合計数、AICkはモデルkのAICです。また、「最良のAIC」は、あてはめたモデルのAICのうち、最小となっているAICです。
図17.12 モデルの比較
[レポート]チェックボックスを使うと、どのモデルのレポートを表示するかを指定できます。「モデルの比較」表の右側に2つのグラフが表示されます。そのうちの上側に描かれているグラフは、元データ・予測値・予測限界をプロットしたものです。その下に、残差の自己相関関数(ACF)と偏自己相関関数(PACF)のプロットが表示されます。グラフにどのモデルを表示するかは、[グラフ]のチェックボックスで指定します。
図17.13 モデルのプロット
「モデルの比較」レポートでは、各モデルの赤い三角ボタンのメニューに以下のオプションがあります。
新規あてはめ
モデルの指定ウィンドウが開きます。設定値を変更し、新しいモデルをあてはめることができます。
1回シミュレーション
k期先まで、1回のシミュレーションを行います。シミュレーションの結果は、「モデルの比較」の時系列グラフに表示されます。kの値を変更するには、「時系列」の赤い三角ボタンをクリックし、[予測する期数]を選択します。
複数回シミュレーション
k期先まで、指定の数だけシミュレーションを行います。シミュレーションの結果は、「モデルの比較」の時系列グラフに表示されます。kの値を変更するには、「時系列」の赤い三角ボタンをクリックし、[予測する期数]を選択します。
モデルシミュレーションの削除
そのモデルのシミュレーション結果を削除します。
すべてのシミュレーションの削除
すべてのモデルのシミュレーション結果を削除します。
シミュレーションの生成
そのモデルに対してシミュレーションを生成し、結果をデータテーブルに保存します。乱数シード値・シミュレーション数・予測する期数を指定します。
シード値の設定
予測値のシミュレーションに使う乱数のシード値を指定します。
注: 「時系列分析」プラットフォームでは、除外された行が欠測値として扱われます。データテーブルの最後のいくつかのオブザベーションが除外された場合、「モデルの比較」レポートのシミュレーションオプションは正しく機能しません。シミュレーションプロシージャでは、時系列の最後のいくつかのオブザベーションが使用されるためです。最後のいくつかのオブザベーションがないと、その後ずっと欠測値が生成されることになります。