「時系列分析」プラットフォームのモデル化に関するオプションには、モデルを時系列にあてはめるコマンドや、あてはめたモデルを使って時系列の将来値を予測するコマンドがあります。また、選択したモデルが適切なものかどうかを判断するために統計量および残差を計算するオプションもあります。モデル化オプションは何度でも選択できます。モデルを選択するたびに、「モデルの比較」表にモデルが追加され、「時系列」レポートウィンドウにあてはめの結果と予測のレポートが表示されます。「モデルの比較」表で「レポート」チェックボックスがオンになっているモデルに対し、レポートが作成されます。レポートのタイトルにモデルの名前が含まれます。
デフォルトでは、以下のレポートが表示されます。
• 「モデルの要約」表
• 「パラメータ推定値」表
• 予測プロット
• 残差
• 反復計算の履歴
「モデルの要約」表は、モデルの適合度統計量をまとめたものです。以下の説明において、nは系列の長さ、kはモデルのパラメータ数です。
自由度
誤差自由度。n-k。
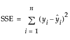
誤差平方和
残差の平方和。
分散推定値
無条件の平方和(SSE)を自由度(n-k)で割ったもの。つまり、分散推定値はSSE / (n – k)で求められます。これはランダムショックatの分散の推定値です。これについては、ARIMAモデルの節で説明します。
標準偏差
分散推定値の平方根。ランダムショックであるatの標準偏差の推定値です。
赤池の情報量規準(AIC)
AICの値が小さいほど、モデルはよくあてはまっています。AICは次式で計算されます。

Schwarzのベイズ規準(SBC、BIC)
SBCの値が小さいほど、モデルはよくあてはまっています。Schwarzのベイズ規準はベイズ情報量規準に相当します。SBCは次式で計算されます。

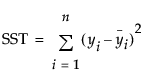
R2乗
R2乗は次式で計算されます。

この式で、


は1期先予測値、
は平均yiです。
モデルが時系列にあまりよくあてはまっていないと、誤差平方和(SSE)が合計平方和(SST)より大きくなります。その結果、R2がマイナスになることがあります。
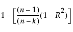
自由度調整R2乗
自由度調整済みR2乗は次式で計算されます。

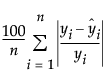
MAPE
平均絶対誤差率(Mean Absolute Percentage Error)。次式で計算されます。

MAE
平均絶対誤差(Mean Absolute Error)。次式で計算されます。

-2対数尤度
パラメータ推定値に対する尤度関数値の自然対数を-2倍したもの。値が小さいほどよくあてはまっています。『基本的な回帰モデル』の尤度・AICc・BICを参照してください。
定常性
自己回帰演算子が定常性を満たしているかどうか、定常性を満たしているかどうかは、f(z) = 0のすべての根が単位円の外にあるかどうかで判断されます。
反転可能性
移動平均演算子が反転可能性(可逆性)を満たしているかどうか、可逆性を満たしているかどうかは、q(z) = 0のすべての根が単位円の外にあるかどうかで判断されます。
注: f演算子とq演算子の定義については、ARIMAモデルの節で説明しています。
各あてはめごとに、パラメータ推定値を示す「パラメータ推定値」表が作成されます。モデルの種類によってパラメータの種類は異なります。パラメータについてはそれぞれの時系列モデルの節を参照してください。「パラメータ推定値」表には、以下の列があります。
項
パラメータの名前。各モデルの節に説明があります。モデルには、切片や平均項を含むものがあり、その場合は関連する定数推定値も表示されます。定数推定値の定義については、ARIMAモデルの説明を参照してください。
因子
(乗法型の季節ARIMAモデルの場合のみ。)そのパラメータを含むモデルの因子。乗法型の季節モデルでは、因子1は季節性がなく、因子2は季節性があります。
ラグ
(ARIMAモデルと季節ARIMAモデルの場合のみ。)ラグの次数。つまり、各パラメータに適用される遅れ演算子の次数です。
推定値
時系列モデルのパラメータ推定値。
標準誤差
パラメータ推定値の標準誤差を推定した値。これらの推定値は、検定や予測区間の計算に使用されます。
t値
各パラメータがゼロであるという帰無仮説の検定統計量。パラメータの検定統計量は、パラメータ推定値とその標準誤差の比です。帰無仮説が成立している場合、この統計量はStudentのt分布に近似的に従います。一般に、t値の絶対値が2より大きいと、そのパラメータ推定値は有意であると判定できます。絶対値が2というのは、0.05の有意水準にほぼ相当するからです。
p値(Prob>|t|)
各パラメータに対して計算されたp値。p値は、帰無仮説が正しいという仮定のもとで、現在のデータから計算されている値よりも、絶対値が大きなt値が得られる確率です。
定数推定値
切片または平均項を含むモデルに対して表示されます。定数推定値の定義については、ARIMAモデルに関する説明を参照してください。
Mu
(ARIMAモデルと季節ARIMAモデルの場合のみ。)ARIMAモデルまたは季節ARIMAモデルの切片の推定値。
モデルごとに、予測値のプロットが作成されます。予測プロットは、時系列の観測値と予測値をグラフにしたものです。縦の線で2つの領域に分割されています。左側の領域には、1期先予測値が観測値と一緒にプロットされています。右側の領域には、2期以上先の予測値が、その予測区間と一緒に示されます。
予測する期数を変更するには、プラットフォームの起動ウィンドウにある「予測する期数」ボックスの設定値を変更するか、レポートのポップアップメニューにある[予測する期数]を選択して新しい数を入力します。
「残差」レポートのグラフには、あてはめたモデルの残差がプロットされています。この残差は、時系列の観測値から1期先予測値を引いたものです。残差の自己相関レポートと偏自己相関レポートも表示されます。これらのレポートで、あてはめたモデルが適切かどうかを判断できます。モデルが適切というのは、残差プロットがゼロの線を中心にほぼ正規分布に従い、残差の自己相関と偏自己相関がゼロに近いことです。
パラメータ推定の計算では、対数尤度を最大にするようなパラメータ推定値を求めるために、反復処理が行われます。「反復計算の履歴」レポートはモデルごとに表示され、反復計算の各反復における目的関数の値を示しています。これを見ると、反復計算における問題点が分かるかもしれません。データに不適切なモデルをあてはめようとすると、反復を続けても計算が収束しないことがあります。「反復の履歴」表には以下の値が表示されます。
反復
反復回数。
反復計算の履歴
各ステップにおける目的関数の値。
ステップ
反復ステップの種類。
目的関数基準
目的関数の勾配に関する基準。
それぞれのモデルレポートにある赤い三角ボタンのメニューには、以下のオプションがあります。
点の表示
予測グラフにデータ点を表示します。
予測区間の表示
予測グラフに予測区間を表示します。
列の保存
新しいデータテーブルを作成し、列にモデルの結果を保存します。
予測式の保存
新しいデータテーブルを作成し、データと予測式を保存します。
SASジョブの作成
ARIMAモデルに関する分析をSASシステムで再現するためのSASコードを作成します。
SASでサブミット
ARIMAモデルに関する分析を再現するコードをSASでサブミット(実行)します。SASサーバーに接続していない場合は、接続手順の指示が表示されます。
残差統計量
表示される残差統計量の種類を制御します。各種類については「時系列分析」プラットフォームのオプションに説明がありますが、これらのオプションは残差系列に適用されます。