公開日: 04/01/2021

「観測データ」レポート

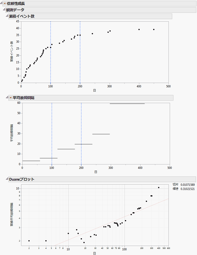
「観測データ」レポートには、デフォルトで、「累積イベント数」グラフ・「平均故障間隔」グラフ・「Duaneプロット」が含まれます。図10.7は、「平均故障間隔」グラフと「Duaneプロット」を開いた状態のレポートです。このレポートを作成するには、「信頼性成長」プラットフォームの例の手順に従います。

図10.7 「観測データ」レポート 

Image shown here

「累積イベント数」グラフ

「累積イベント数」グラフでは、時間に対して、累積イベント数がプロットされます。各点のY座標は、X座標が示す時点までに発生したイベントの総数です。

モデルをあてはめると、そのモデルの曲線が、「累積イベント数」グラフに追加されます。累積イベント数の推定値は曲線で、また、その95%信頼区間は色のついた帯で示されます。グラフの右側にあるチェックボックスによって、これらの曲線と帯の表示/非表示を切り替えることができます。

[並列システム]データ形式の場合、「累積イベント数」グラフには「システムID」変数の水準ごとに個別のパネルがあります。また、グラフの最下部のパネルには、「システムID」変数のすべての水準の累積イベント数を重ね合わせたプロットが表示されます。「システムID」変数の水準は色分けされています。

「平均故障間隔」グラフ

「平均故障間隔」グラフには、一定の長さの期間ごとに求められた平均故障間隔(MTBF; Mean Time Between Failures)が示されます。平均故障間隔を求めるのに使われる期間は、フェーズとは別に設定されます。この期間は、デフォルトでは、行数によって決められています。

「平均故障間隔」グラフのオプション

「平均故障間隔」の赤い三角ボタンをクリックし、[オプション]をクリックすると、ウィンドウが開き、平均故障間隔の計算に使う期間を指定できます。

計算方法には、次の2種類があります。

[等しい時間幅の期間ごと]では、平均故障間隔を求める期間の長さを指定します。

[指定された期間ごと]では、平均故障間隔を求める期間の区切りとなる時点を指定します。

区切りとなる時点を変更するには、テーブル内のセルをダブルクリックします。

また、テーブル内で右クリックすると、開いたメニューから、行を追加または削除できます。

Duaneプロット

Duaneプロットには、時間に対して累積平均故障間隔がプロットされます。両軸で、log10スケールが使われます。データがCrow-AMSAAモデルに従っている場合は、両対数軸上にプロットすると、点が直線に沿います。

注: Duaneプロットを使用できるのは、故障時間データが正確で、データ形式が「イベントまでの時間」形式である場合のみです。このプロットを、区間打ち切りデータや、日付形式で入力されたデータに使用することはできません。

プロットに表示される直線は、説明変数を常用対数スケールの時間、応答変数を常用対数スケールの累積平均故障間隔とした回帰モデルを、最小2乗推定したものです。

注: Duaneプロットではフェーズ変数は考慮されません。「イベントまでの時間」変数においてフェーズの変化を定義するためだけに存在しているデータは、Duaneプロットの描画やそこでの回帰直線の計算では無視されます。

「切片」と「傾き」

プロットの右側には「切片」と「傾き」の値が表示されます。

表に表示されている「切片」の値は、解釈しやすいように、自然対数スケールで推定したときの切片となっています。具体的に言えば、説明変数を自然対数スケールの時間、応答変数を自然対数の累積平均故障間隔としたときの回帰モデルです。「切片」の値は、log(1) = 0における回帰式の予測値です。ここで、logは自然対数です。常用対数で変換したデータでの切片を求めるには、この「切片」の値をlog(10)で割ります。詳細については、Tobias and Trindade(2012, ch. 13)を参照してください。

一方、対数がもつ性質により、自然対数と常用対数のどちらの変換を用いても、「傾き」の値は同じです。

より詳細な情報が必要な場合や、質問があるときは、JMPユーザーコミュニティで答えを見つけましょう (community.jmp.com).