Space Filling計画(空間充填計画)は、計画領域全体に対して計画点を配置する計画です。この計画でも、線形制約を指定できます。この計画は、[実験計画(DOE)]>[特殊な目的]>[Space Filling計画]にある「高速柔軟充填」計画と同様の手法を使って作成されます(高速柔軟充填計画)。
「配合計画」の赤い三角ボタンのメニューに、特に「Space Filling計画」に関連するオプションが2つあります。
FFF最適化基準
高速柔軟充填(FFF; Fast Flexible Filling)計画の場合、基準として[MaxPro](デフォルト)と[重心]のいずれかを選択できます。FFF最適化基準を参照してください。
詳細オプション > 平均クラスターサイズの設定
高速柔軟充填計画で、各クラスターまたは各計画点の定義に使うランダムな点の平均数を指定できます。平均クラスターサイズの設定を参照してください。
Space Filling計画の例を作成するには、次の手順に従います。
1. [実験計画(DOE)]>[古典的な計画]>[配合計画]を選択します。
2. (オプション)この例の結果を一致させる場合は、[配合計画]の赤い三角ボタンをクリックし、[乱数シード値の設定]を選択し、「1409」と入力します。
3. この例では3つの因子を使用します。「因子」セクションを変更する必要はありません。
4. [続行]をクリックします。
5. [線形制約]をクリックします。
6. X1のボックスに「0.7」、X3のボックスに「1」と入力し、不等号の向きを ≥に変更し、制約のボックスに「0.4」と入力します。
この設定により、0.7X1+X3が40%よりも大きい配合に制約されます。
7. 「実験回数」ボックスに「30」と入力します。
8. [Space Filling]をクリックします。
9. [テーブルの作成]をクリックします。
10. 計画のデータテーブルで、[グラフ]>[三角図]を選択します。
11. X1、X2、およびX3を選択し、[X、プロット]をクリックし、[OK]をクリックします。
図13.19 線形制約を1つ指定したSpace Filling計画
この計画は、重心FFF最適化基準を使って作成されます。各実験点は、制約条件を満たす領域内に収まっており、かつ、その領域全体に均等に散らばっています。三角図の詳細については、三角図の概要を参照してください。
高速柔軟充填(FFF; Fast Flexible Filling)計画のアルゴリズムは、まず指定の計画領域内に多数のランダムな点を生成します。そして、これらの点に対して、線形制約や、許可しない因子の組み合わせといった制約を課します。次に、この多数の点を、高速Ward法によるクラスター分析によって、指定された実験回数を個数としたクラスターにまとめます。
最後に、デフォルトの[MaxPro](最大射影法; maximum projection)またはオプションの[重心]を最適化基準として、最終的な計画点を求めます。これらのオプションは、レポートの赤い三角ボタンのメニューにある[FFF最適化基準]サブメニューに含まれています。
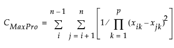
MaxPro
因子数をp、指定の実験回数をnとした場合、[MaxPro]は、次の基準を最小にする点を各クラスターから1つ取り出します。

MaxPro基準では、すべての因子を考慮して、点間の距離の積を最大にしようとします。この基準を最適化すると、因子の射影に関して、空間充填の良い性質をもつようになります。Joseph et al.(2015)を参照してください。[MaxPro]オプションはデフォルトで選択されています。
重心
この手法は、各クラスターの重心に計画点を置きます。計画空間内における任意の点から、最近隣の実験点までの平均距離が他の計画より小さくなる特性を持ちます。
注: 常に使用する最適化基準が決まっている場合は、環境設定で固定しておくことができます。それには、[ファイル]>[環境設定]>[プラットフォーム]>[実験計画(DOE)]を選択します。そして、[FFF最適化基準]を選択し、該当するオプションを選択します。
[平均クラスターサイズの設定]オプションは、「配合計画」の赤い三角ボタンのメニューにある[詳細オプション]の下にあります。このオプションを使うと、1クラスターあたり(すなわち、1つの実験点あたり)における、一様乱数の平均個数を指定できます。
デフォルトでは、実験回数が200以下の場合、全部で10,000個の一様乱数が、クラスターアルゴリズムで使用されます。実験回数が200を超えた場合、デフォルトでは、1つの実験点あたりにつき50個の一様乱数が使用されます。因子数が多い計画においては、この値を増やす必要があるかもしれません。
注: 因子数や実験回数によって、1つの実験点あたりの一様乱数の平均個数を増やしたい場合があります。その場合は、[詳細オプション]>[平均クラスターサイズの設定]を選択してください。
計画領域は、「線形制約」パネルで[線形制約]オプションを選択して限定できます。
線形制約を指定した場合、クラスターアルゴリズムの基礎となる乱数の点が、制約の範囲内の計画領域にランダムに散りばめられます。そして、これらの一様乱数の点がクラスタリングされます。