「累積損傷」起動ウィンドウの「イベントまでの時間」パネルには次のオプションがあります。
イベントまでの時間
イベントが発生するまでの時間(故障が生じるまでの時間)、または打ち切りまでの時間を含んでいる列を指定します。データが区間打ち切りの場合には、各区間の下限と上限を含んだ2つの列を指定する必要があります。区間打ち切りの場合には、それら2つの列を[イベントまでの時間]に指定します。打ち切りデータの詳細は、イベントプロットを参照してください。
打ち切り
観測値が右側打ち切りかどうかを示します。「列の選択」リストの下の「打ち切りの値」メニューから右側打ち切りを示すデータ値を選択してください。[打ち切り]列は、Y列に対して列を1つだけ指定した場合にのみ使用できます。
度数
1行のデータが複数のユニットを表している場合に、その度数(すなわち、観測値の個数)を含んでいる列を指定します。この列の値が0または正の整数であるとき、その値は該当する行の観測値の度数(個数)を表しています。
パターンID
各行に使用されたストレスのパターンを特定するための列です。「ストレスパターン」のデータテーブルでの値と対応していなければいけません。
打ち切りの値
[打ち切り]列のデータ値のうち、右側打ち切りであることを示すデータ値を指定します。[打ち切り]列を選択すると候補となるデータ値が、自動的にコンボボックスに表示されます。データ値を変更するには、赤い三角ボタンをクリックして、値のリストから選択してください。テキストボックスに異なる値を入力することもできます。[打ち切り]列に「値ラベル」列プロパティが設定されている場合、値ラベルが値リストに表示されます。なお、[打ち切り]列が欠測値となっている行は、分析から除外されます。
関係
ストレス因子と故障時間との関係を示します。表5.1に、各関係のモデルの定義を示します。
|
関係 |
モデル |
|---|---|
|
Arrhenius摂氏 |
μ = b0 + b1 * 11605 / ( X + 273.15 ) |
|
Arrhenius華氏 |
μ = b0 + b1 * 11605 / ( ( X + 459.67 ) / 1.8 ) |
|
Arrheniusケルビン |
μ = b0 + b1 * 11605 / X |
|
逆べき乗(デフォルト) |
μ = b0 + b1 * log( X ) |
|
線形 |
μ = b0 + b1 * X |
|
対数 |
μ = b0 + b1 * log( X ) |
|
ロジット |
μ = b0 + b1 * log( X / ( 1 - X ) ) |
|
逆数 |
μ = b0 + b1 / X |
|
平方根 |
μ = b0 + b1 * sqrt( X ) |
|
Box-Cox |
μ = b0 + b1 * BoxCox( X ) |
|
カスタム |
ユーザ定義(「ステップストレス」パネルでのみ有効) |
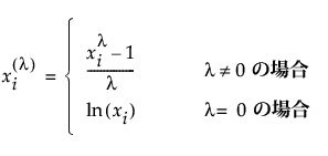
BoxCox( X )変換は次の式で定義されます。

[カスタム]を選択した場合、分析者独自の変換式を指定するコントロールが表示されます。そこで、モデルにおける、故障時間とストレス因子との関係式を指定できます。
なお、カスタムの機能(自分自身で独自の関係式を定義する機能)については、カスタム関係式を参照してください。
分布
故障時間に対する確率分布を指定します。指定できる確率分布は、[Weibull]・[対数正規]・[対数ロジスティック]・[Fréchet]・[指数]です。Weibull分布がデフォルトの確率分布になっています。各確率分布の詳細については、確率分布を参照してください。