差分
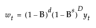
「差分の指定」ウィンドウ(図18.5)が開きます。このウィンドウで、時系列に適用したい差分演算を指定します。時系列データの差分を取ると、定常でない時系列を定常化できます。差分は次式で計算されます。

tは時間に対する通し番号、BはByt=yt-1と定義されたラグ演算子です。
メモ: トレンドや季節性がある場合など、時系列データの多くは、平均が一定ではありません。そのように定常でない時系列データを、ARMAモデルを始めとする定常性を仮定した時系列モデルで表すことはできません。差分を取ることでトレンドや季節性を除外し、定常な時系列にすることができます。差分を取り定常化することで、定常性が仮定されるモデルを使って時系列データを表すことが可能になります。
図18.5 「差分の指定」ウィンドウ
「差分の指定」ウィンドウでは、非季節性の差分に対する次数であるd、季節性の差分に対する次数D、1周期の期間sを指定します。差分の次数をゼロとすると、その差分は計算されません。差分演算を指定して[推定]をクリックするたびに、レポートウィンドウに「差分」レポートが追加されます。「時系列分析」プラットフォームの別例を参照してください。
分解
(起動ウィンドウで[保留データの予測]または[Box-Cox変換の使用]のいずれかを選択した場合は使用できません。)分解(decomposition)の手法を含むサブメニューが開きます。時系列データの分解では、データに見られる線形トレンドや季節的周期を取り除きます。それにより、モデルの推定が良くなるかもしれません。分解の手法として3つのオプションが用意されています。
線形トレンドの除去
線形回帰モデルを使って原系列の線形トレンドを推定し、データから線形トレンドを取り除きます。レポートには、トレンドを除去した時系列の「時系列」レポートと線形トレンドに関する情報が表示されます。「時系列」レポートおよび「線形トレンド」レポートを参照してください。
周期性の除去
単一の余弦関数(コサイン関数)によって原系列に含まれる周期性要素を推定し、それを原系列から除去します。[周期性の除去]オプションを選択すると、「周期を定義」ウィンドウが開きます。このウィンドウで、1周期における時点数と、原系列データから定数を引くかどうかを指定します。レポートには、周期性を除去した時系列の「時系列」レポートと周期に関する情報が表示されます。「時系列」レポートおよび「周期性」レポートを参照してください。
X11
アメリカ合衆国国勢調査局によって開発されたX11法によってトレンドと季節性の効果を除去します(Shiskin et. al.(1967)。X11法の詳細については、X11法による分解の統計的詳細を参照してください。このオプションを選択すると、「分解方法の選択」ウィンドウが開きます。ここでは、乗法型と加法型のいずれのX11モデルを用いるかを指定します。[OK]をクリックすると、レポートウィンドウに「X11」レポートが追加されます。「X11」レポートを参照してください。
X11オプションは、月次データまたは四半期データでのみ使用できます。「X, 時間ID」列の値が、月または四半期の均等な間隔で並んだ数値でなければならず、隙間や欠測値があってはなりません。これらの条件を満たしていない時間列に対してX11を適用しようとすると、エラーになります。X11分析に適切な時間列の例については、適切な[時間ID]列の作成を参照してください。
メモ: [線形トレンドの除去]または[周期性の除去]を選択した場合は、データテーブルにトレンドまたは周期性が除去されたデータを含む列が追加されます。オプションを選択した時点でこの列がすでにデータテーブル内に存在する場合は、列が上書きされます。
ヒント: 一般的な分析手順では、時系列データを分解するには、まず線形トレンドを除去し、次に12か月のような長い周期を除去します。その後、6か月のような短い周期を除去します。
ラグプロットの表示
時点t +/- pにおける観測値をX軸、時点tにおける観測値をY軸にプロットしたラグプロットが表示されます。+/- pはラグを指します。このプロットからは、時点tにおけるある観測値が時点t +/- pにおける別の観測値とどのように関連しているかがわかります。プロットにおいて何の関係も見られない場合、一定のラグを置いた観測値の間に関連はありません。プロットにおいて関係が見られる場合は、一定のラグを置いた観測値の間には何らかの関係があります。時系列モデルの作成において、一定のラグを置いた観測値の間に関係があるかどうかを特定することは重要です。
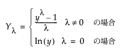
Box-Cox変換プロットの表示
(起動ウィンドウで[Box-Cox変換の使用]を選択した場合は使用できません。)Box-Cox変換プロットの表示と非表示を切り替えます。Box-Cox変換は、lパラメータに基づくべき乗変換で、次の式を使用します。

「Box-Cox変換プロット」には、変換後の時系列のグラフと、lパラメータを設定するためのオプションが表示されます。「Lambda」ボックスには、このパラメータの現在の値が表示されます。Lambdaスライダを使用してパラメータの値を変更することもできます。その後、プロットが自動的に更新されます。「最小値」と「最大値」のボックスでは、スライダの範囲を設定できます。
ヒント: 「Box-Cox変換プロット」を使用すると、さまざまなλ値に対する変換後の時系列を見ることができます。値を決めたら分析を再起動し、[Box-Cox変換の使用]を選択して、「Box-Cox変換のλ」の横にそのλの値を入力します。これで、変換後の系列に対して「時系列」プラットフォームが実行されます。
相互相関
(起動ダイアログで入力系列を指定した場合のみ。)レポートに相互相関プロットを表示します。プロットの長さは、自己相関プロットにおける期数の2倍に1を足したものです。相互相関プロットは、出力系列と入力系列との相関を表したものです。2本の青い線は標準誤差を表します。
メモ: 相互相関プロットにおいては、帰無仮説のもとでの標準誤差が1/sqrt(n - k)として計算されます。ここで、nは非欠測の観測値数で、kは自己相関ラグの数です。
白色化
(「入力系列」の赤い三角ボタンにおけるメニューのみ。)「白色化の指定」ウィンドウが開き、白色化の次数を設定することができます。白色化は、伝達関数モデルの特定に役立つ手法です。この手法では、ARIMAモデルを入力系列にあてはめ、残差がホワイトノイズに等しくなるようにします。次に、同じモデルで出力系列を推定します。フィルタリングされた入力系列とフィルタリングされた出力系列との相互相関によって、伝達関数モデルのラグを決定することができます。白色化についての詳細は、Box et al.(1994)を参照してください。