「寿命の二変量」プラットフォームを起動するには、[分析]>[信頼性/生存時間分析]>[寿命の二変量]を選択します。「列の選択」の赤い三角ボタンのメニューの詳細については、『JMPの使用法』の列フィルタメニューを参照してください。
図4.4 「寿命の二変量」起動ウィンドウ
「寿命の二変量」起動ウィンドウには、次のオプションがあります。
Y, イベントまでの時間
イベントが発生するまでの時間(故障が生じるまでの時間)、または打ち切りまでの時間を含んでいる列を指定します。区間打ち切りデータの場合は、下限と上限として2つのY変数を指定します。打ち切りデータの詳細は、イベントプロットを参照してください。
X
加速因子を指定します。
打ち切り
観測値が打ち切られているかどうかを示す列を指定します。「列の選択」リストの下の「打ち切りの値」メニューから右側打ち切りを示すデータ値を選択してください。[打ち切り]列は、Y列に対して列を1つだけ指定した場合にのみ使用できます。
度数
1行のデータが複数のユニットを表している場合に、その度数(すなわち、観測値の個数)を含んでいる列を指定します。この列の値が0または正の整数であるとき、その値は該当する行の観測値の度数(個数)を表しています。
By
指定した列の水準ごとにレポートが作成されます。
打ち切りの値
[打ち切り]列のデータ値のうち、右側打ち切りであることを示すデータ値を指定します。[打ち切り]列を選択すると候補となるデータ値が、自動的にコンボボックスに表示されます。データ値を変更するには、赤い三角ボタンをクリックして、値のリストから選択してください。テキストボックスに異なる値を入力することもできます。[打ち切り]列に「値ラベル」列プロパティが設定されている場合、値ラベルが値リストに表示されます。なお、[打ち切り]列が欠測値となっている行は、分析から除外されます。
関係
故障分布と加速因子との関係を指定します。表4.1に、各関係のモデルの定義を示します。
関係 | モデル |
|---|---|
Arrhenius摂氏 | μ = b0 + b1 * 11604.5181215503 / ( X + 273.15 ) |
Arrhenius華氏 | μ = b0 + b1 * 11604.5181215503 / ( ( X + 459.67 ) / 1.8 ) |
Arrheniusケルビン | μ = b0 + b1 * 11604.5181215503 / X |
電圧 | μ = b0 + b1 * log( X ) |
線形 | μ = b0 + b1 * X |
対数 | μ = b0 + b1 * log( X ) |
ロジット | μ = b0 + b1 * log( X / ( 1 - X ) ) |
逆数 | μ = b0 + b1 / X |
平方根 | μ = b0 + b1 * sqrt( X ) |
Box-Cox | μ = b0 + b1 * BoxCox( X ) |
位置 | 平均μが、Xの水準ごとに異なる |
位置と尺度 | 平均μとσが両方とも、Xの水準ごとに異なる(「寿命の一変量」でXを[By]変数として指定した場合と同じ) |
カスタム | ユーザーが定義したmとs |
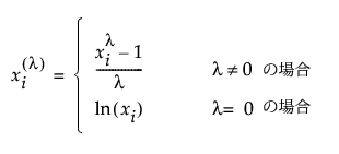
[Box-Cox]を選択した場合、[使用条件]オプションの下にテキスト編集ボックスが表示されます。このボックス使用して、lの値を特定します。特定のlに対応したBoxCox(X)変換は次の式で定義されます。

カスタムの機能(自分自身で独自の関係式を定義する機能)については、カスタム関係式を参照してください。
包含モデルの検定
レポートウィンドウに、ノンパラメトリックな確率プロット・「包含モデルの検定」・モデルに基づく「複数群の確率プロット」を追加します。
使用条件
加速因子Xの使用条件での値を入力するダイアログが開きます。プラットフォームを起動してから、「寿命の二変量」の赤い三角ボタンのメニューから[使用条件の設定]オプションを選択して使用条件を設定することもできます。
分布
[Weibull]・[対数正規]・[対数ロジスティック]・[Fréchet]・[最小極値]・[正規]・[ロジスティック]・[最大極値]・[指数]の中から分布を1つ選択します。[対数正規]がデフォルトの設定です。
信頼区間の方法
パラメータ推定値の信頼区間を計算する方法を選択します。デフォルトでは、[Wald]法によって信頼区間は計算されます。別の計算方法として、[尤度]法も用意されています。Wald法のほうが尤度法よりも計算時間が短いです。尤度比法のほうが、近似は良いですが、計算時間は長くなります。
メモ: 環境設定における「信頼区間の方法」において、信頼区間を計算するデフォルトの方法を[尤度]法に変更することもできます。この環境設定は、[環境設定]>[プラットフォーム]>[寿命の二変量]で変更できます。