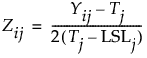
「工程能力」レポートの「工程能力箱ひげ図」は、分析対象の各変数についての箱ひげ図です。各列の値は、その目標値で中心化され、仕様限界の範囲で尺度化されます。目標値が仕様限界の真中ではない場合、値は、目標値と仕様限界との差のうち小さいほうを2倍したもので尺度化されます。つまり、工程列Yjに対して次のように計算されます(表記については表記に関する統計的詳細を参照)。

仕様限界が片側しか指定されていない工程の場合は、仕様限界が片側の場合、またはない場合を参照してください。目標値がない工程の場合は、工程能力箱ひげ図の統計的詳細を参照してください。
メモ: 非正規分布をあてはめた工程変数は、工程能力箱ひげ図には表示されません。
Figure 9.12は、「Semiconductor Capability.jmp」サンプルデータの8つの変数に対する「工程能力箱ひげ図」レポートです。
図9.12 工程能力箱ひげ図
工程能力箱ひげ図を見ると、±0.5の位置に緑色の点線が表示されています。
• 工程の目標値が仕様限界の真ん中にある場合、緑色の点線は、標準化した仕様限界を表します。
• 工程の目標値が仕様限界の真ん中ではない場合、緑色の点線のいずれかが、目標値に近い方の仕様限界を標準化したものを表します。もう一方の点線は、逆方向に同じ距離を取った位置にあります。
このプロットでは、各変数をその仕様限界と比較することができます。たとえば、Figure 9.12の「IVP1」では、点の大部分が上側仕様限界を超えています。「IVP2」は、大部分が目標値を下回っています。「PNP2」は、すべての点が仕様限界内に収まっていることから、目標を満たていると考えられます。
ある列に仕様限界が1つしかない場合、次のように色が適用されます。
• 上側仕様限界(USL)しか指定されていない列は、青色で箱ひげ図が描かれます。
• 下側仕様限界(LSL)しか指定されていない列は、赤色で箱ひげ図が描かれます。
• 少なくとも1つの工程が上側仕様限界しか指定されていない場合、0.5の位置に青色の点線が表示されます。
• 少なくとも1つの工程が下側仕様限界しか指定されていない場合、-0.5の位置に赤色の点線が表示されます。
ある工程に、下側仕様限界と目標値だけが指定されているとしましょう。工程能力箱ひげ図は、次のように変換したデータ値から作成されます。表記については表記に関する統計的詳細を参照してください。

ある工程に、上側仕様限界と目標値だけが指定されているとしましょう。工程能力箱ひげ図は、次のように変換したデータ値から作成されます。

仕様限界が片側しかなく、目標値がない工程の扱いの詳細については、片側の仕様限界があり、目標値がない場合を参照してください。