「計画の評価」レポートには、モデル内の各パラメータの「信頼区間幅の増加率」と「推定値の相対標準誤差」が表示されます。どちらの値も、小さい方が良いです。Figure 16.22は、「Design Experiment」フォルダにある「Bounce Data.jmp」データテーブルの「推定効率」セクションです。
図16.22 推定効率
「信頼区間幅の増加率」は、現在の計画で与えられるパラメータの信頼区間幅を、理想的な計画の信頼区間幅と比較します。
• まず理想的なパラメータの信頼区間幅を、実際の信頼区間幅から引きます。
• そして、その差を理想的な信頼区間幅で割ります。
D-最適計画で、かつ直交計画である場合、増加率はゼロになります。信頼区間幅の増加率が小さい計画のほうが良い計画です。
通常の最小2乗法による推定値の共分散行列は、s2(X′X)-1です。(X′X)-1の対角要素は、パラメータ推定値の相対分散(パラメータ推定値の分散をs2で割ったもの)です。2水準の計画で、効果をコード変換している場合(「コード変換」列プロパティを参照)、パラメータ推定値の相対分散の最小値は、どのパラメータについても1/n(nは実験回数)となります。これは、D-最適計画ですべての効果が直交している場合に対応します。
パラメータ推定値のベクトルを、
で表すとしましょう。このとき、理想的な計画(存在するとは限りません)の共分散行列は、以下のように表されます。

この式で、Inはn × nの単位行列、σは応答の標準偏差です。
D-最適計画において直交計画が存在する場合は、その直交計画が理想的な計画です。ただし、上の定義は、理想的な計画の概念を、直交しているD-最適計画が存在しない状況にも拡張したものとなっています。
この定義は、3水準以上のカテゴリカル因子の計画でも使われています。ただし、3水準以上のカテゴリカルな因子の場合には、直交化を施したコード変換を用いています。直交化を施したコード変換を行ったものを用いた場合、3水準以上のカテゴリカルな因子がある場合でも、計画が直交計画ならば理想的な共分散行列を持ちます。「カスタム計画」における直交化コード変換を確認するには、「カスタム計画」ウィンドウで[X行列の保存]を選択してから、計画のデータテーブルを作成し、そのデータテーブルに保存された「モデル行列」スクリプトを参照してください。
理想的な計画においては、パラメータ推定値の標準誤差は以下のようになります。

信頼区間幅は、標準誤差によって決まります。信頼区間幅の増加率は、作成した計画と理想的な計画のそれぞれの標準誤差の差分を、理想的な計画の標準誤差で割ったものとなります。
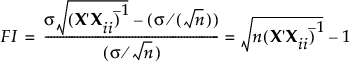
i番目のパラメータ推定値の信頼区間幅の増加率は、次のように定義されます。

ここで、
s2は、誤差の分散です(通常、その値は未知です)。
Xは、作成した計画のモデル行列です。このモデル行列の定義については、交絡行列を参照してください。
は、
のi番目の対角要素、
nは、実験回数です。
「推定値の相対標準誤差」は、誤差の標準偏差を1としたときの、パラメータ推定値の標準偏差です。この値は、誤差の標準偏差を1としたときの、パラメータ推定量のばらつき(標準誤差の大きさ)を表しています。i番目のパラメータの推定値に対し、「推定値の相対標準誤差」は次のように定義されます。

ここで、
Xは、交絡行列で定義されたモデル行列です。
は、
のi番目の対角要素です。