マーカー 注釈 位置
マーカーの染色体位置を示す注釈(アノテーション)のデータテーブルを起動時に指定した場合は、この列に各マーカーの染色体位置が表示されます。位置情報がない場合は、分析対象のJMPデータテーブルにおける各マーカーの列番号(列に対する通し番号)が代わりに表示されます。
with マーカー 注釈 位置
マーカーの染色体位置を示す注釈(アノテーション)のデータテーブルを指定した場合は、比較対象のマーカーの染色体位置がこの列に表示されます。位置情報がない場合は、分析対象のJMPデータテーブルにおける各マーカーの列番号(列に対する通し番号)が代わりに表示されます。
マーカーのペア間の距離
この列には、マーカーのペア間の距離がリストされます。位置情報がない場合は、分析対象のJMPデータテーブルにおける各マーカーの列番号(列に対する通し番号)が代わりに表示されます。
度数
各マーカーで観測された個体の合計数。
欠測割合
各マーカーまたはマーカーペアでデータが欠測値になっている個体の割合。
遺伝子型数
各マーカーで観測された遺伝子型(genotype)の数。
アレル数
各マーカーで観測されたアレル(allele)の数。
マイナーアレル
各マーカーにおいて頻度が少ない方のアレル。
ゼロとコード化される最も一般的なアレル
各マーカーにおいて頻度が多い方のアレル。ホモ接合体のうち頻度が多い方のアレルは、通常、そのマーカーで「0」にコード化されます。
マイナーアレル頻度(MAF)
MAF(Minor Allele Frequency)は、集団における各マーカーのマイナーアレルの観測割合を表します。マーカー座位Mに、アレルM1とM2に対する2アレルマーカーがあるとします。分析対象の個体数を、Nとします。なお、k倍数体(kは偶数)である場合、該当するマーカー座位にk + 1個の異なる遺伝子型があることになります。アレルM1のコピーをi個(i = 0, 1, 2, …, k)、アレルM2のコピーをj個(j = 0, 1, 2, …, k)持つ個体の数を、Nijで表します。アレルM1のコピー数n1は、n1 = 0 × N00 + 1 × N10 + 2 × N20 + … + k × Nk0という和で求められます。アレルM1の観測頻度は、p1 = n1 / (k × n)として表され、アレルM2の頻度は、p2 = 1 - p1として表されます。また、アレルM1のコピーをu個、およびアレルM2のコピーをv個持つ各遺伝子型の観測頻度は、Pij = Nij / nで表されます。
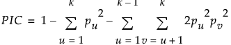
多型情報含有値(PIC)
多型情報含有値(Polymorphism Information Content; Botstein et al., 1980;
Hilderbrand, Torney, and Wagner, 1992)は、父・母・子の遺伝子型を所与としたときに、子の2つのアレルがそれぞれどちらの親に由来するのかを判別できる確率です。

観測 ヘテロ接合度(HET)
「観測 ヘテロ接合度」(HET; Heterozygosity)は、分析対象のデータにおけるヘテロ接合体の観測割合です。

期待 ヘテロ接合度
「期待 ヘテロ結合度」(Allelic Diversity)は、Hardy-Weinberg均衡が成立している場合の、分析対象のデータにおけるヘテロ接合度の期待値です。

HWE 自由度
HWE自由度(Hardy-Weinberg均衡に対するカイ2乗検定の自由度)は、
です。ここで、kは調べようとしている特定のマーカーに存在するアレルの数です。
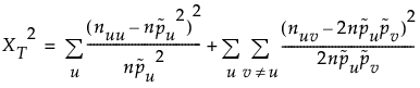
HWE カイ2乗
理想的な条件下にある集団では、個体が受け取る2つのアレル(各親から1つずつ)は独立しています。つまり、Pii = p12、Pjj = p22、およびPij = 2p1 p2 (iおよびj = 0, 1, 2, …, k)となります。ヘテロ接合に対する上記の式において係数2が掛けられていますが、これはM1 / M2とM2 / M1という2つの遺伝子型が一般に区別できないからです。該当の遺伝子座におけるアレルの独立性の法則を、「Hardy-Weinberg平衡」(HWE; Hardy-Weinberg equilibrium)と呼びます。選択(淘汰)、変異、集団間の移動、ランダムでない交配などの作用は、Hardy-Weinberg平衡状態からずれることにつながります。カイ2乗適合度検定によって、マーカーのHardy-Weinberg平衡を検定できます(帰無仮説はPii = p12、Pjj = p22、およびPij = 2p1 p2)。

LD カイ2乗
カイ2乗統計量によって、連鎖不平衡の強さの指標を検定します。この際、複合連鎖不平衡(CLD; composite linkage disequilibrium)係数(Weir 1979)が使用されます。この手法は、Hardy-
Weinberg平衡の仮定を必要とせず、アレル頻度と2座位における遺伝子型の頻度のみを使用します。

2アレルマーカーの場合、kとlは2で、検定の自由度は1です。
複合 LD(D)
複合連鎖不平衡(CLD; composite linkage disequilibrium)係数(Weir 1979)。この指標は、Hardy-Weinberg平衡の必要としません。D12 = p12 + p1/2 - 2p1 p2という式で表されます。
ここで:
– p12は、1つの配偶子でのM1 M2の頻度
– p1/2は、2つの異なる配偶子での、アレルM1およびM2の結合頻度
– p1およびp2は、2つの遺伝子座におけるアレルM1およびM2の頻度[Weir 1996]
標準化複合 LD(D’)
Dmaxに対するDの比(Zaykin, 2004)。

LD 相関係数(r)
2つの遺伝子座の存在を示す指示変数の値を-1~1と仮定した相関係数。

P値から求められる指標
Hardy-Weinberg平衡や連鎖不平衡に関するカイ2乗検定のp値に関連する4つの指標の列があります。それらは、P値、対数価値(log10 p値)、FDR P値(偽発見率p値)、FDR 対数価値)
です。