신뢰성 및 생존 방법 > 누적 손상 > 누적 손상 플랫폼의 추가 예
발행일 : 03/10/2025

누적 손상 플랫폼의 추가 예

이 예에서는 "누적 손상" 보고서의 "시뮬레이션 구성" 패널을 사용하여 새 계단 스트레스 데이터를 생성합니다. 여기에서는 누적 손상 플랫폼의 예의 예와 동일한 데이터를 사용합니다.

1. 도움말 > 샘플 데이터 폴더를 선택하고 Reliability/CD Step Stress.jmpReliability/CD Step Stress Pattern.jmp를 엽니다.

2. CD Step Stress 데이터 테이블에서 Cumulative Damage 스크립트를 실행합니다.

3. "스트레스 패턴"의 빨간색 삼각형을 클릭하고 시뮬레이션을 선택합니다.

그림 5.8 시뮬레이션 구성 패널 

Simulation Configuration Panel

"스트레스 패턴" 보고서에 "시뮬레이션 구성" 패널이 나타납니다. "분포"는 "Weibull"로 선택되어 있습니다. b0 및 b1의 적합된 값은 시뮬레이션의 초기값으로 사용됩니다.

4. 분포에서 "지수"를 선택합니다.

5. b0에 "10"을 입력합니다.

6. b1에 "-18"을 입력합니다.

7. (선택 사항) 난수 시드값에 "14678"을 입력합니다.

8. 시뮬레이션을 클릭합니다.

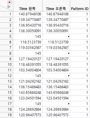
그림 5.9 시뮬레이션 결과(일부) 

Partial Results of Simulation

Figure 5.9에는 시뮬레이션된 데이터 테이블의 일부가 나열되어 있습니다. Pattern ID가 1인 스트레스 패턴은 최대 145 시간 단위까지만 정의됩니다. 시작 창의 "패턴 계속" 설정이 "종료"로 설정되었으므로 시뮬레이션할 때 스트레스 패턴 1에 대해 145에서 시뮬레이션된 값이 중도절단됩니다.

더 많은 정보를 원하십니까? 질문이 있습니까? JMP 사용자 커뮤니티에서 답변 받기 (community.jmp.com).