반응 표면 설계 플랫폼의 "설계 선택" 섹션에서 설계를 선택할 수 있습니다. 설계에는 다음 두 가지 유형이 포함됩니다.
• 중심 합성 설계
그림 12.13 네 가지 요인에 대한 설계 선택 패널
Box-Behnken 설계에 요인당 수준이 세 개뿐이며 요인 범위에 의해 정의된 입방체의 꼭지점에 설계점이 없습니다. 이러한 설계는 엔지니어링 고려 사항으로 인해 극단적 설정을 피해야 할 때 유용할 수 있습니다. 그러나 이 설계는 중심 합성 설계에 비해 꼭지점 근처에서 예측 분산이 더 높습니다.
중심 합성 설계에는 중앙점과 축 점이 있습니다. 축 점은 한 요인은 상한 또는 하한값(축 값)으로 설정되고 다른 모든 요인은 범위의 중앙 값으로 설정되는 점입니다.
중심 합성 설계에는 지정된 요인 범위에 의해 정의된 초입방체의 면을 벗어나는 축 점이 있을 수 있습니다. 즉, 각 요인에는 "요인" 섹션에 지정된 값 범위를 벗어나는 두 가지 설정을 포함하여 5개의 고유 설정이 필요할 수 있습니다. 그러나 JMP를 사용하면 면에 설계점을 놓을 수 있습니다.
JMP에서 권장하는 기본 중앙점 수는 설계 유형에 따라 결정됩니다. 중앙점은 설계의 목표 및 최적 기준을 기반으로 합니다. 중앙점 수는 설계의 균등 정밀 또는 직교성 특성에 영향을 줄 수 있습니다.
다음과 같은 유형의 중심 합성 설계를 사용할 수 있습니다.
중심 합성 설계
반응 표면 모형을 정의하기 위한 일반적인 중심 합성 설계입니다. 두 개의 중앙점을 사용합니다.
CCD-균등 정밀
설계 공간의 중심 근처에서 예측 분산이 매우 고르게 되도록 중앙점 수가 선택되는 설계입니다. 이러한 설계에는 많은 수의 중앙점이 사용됩니다.
CCD-직교
2차 모수 추정값이 다른 모수 추정값과 최소로 상관되도록 중앙점 수와 축 값이 선택되는 설계입니다. 이러한 설계에는 많은 수의 중앙점이 사용됩니다.
CCD-직교 블록
2차 모수 추정값 및 블록 효과가 다른 모수 추정값과 최소로 상관되는 설계입니다. 이러한 설계에는 많은 수의 중앙점이 사용됩니다.
중심 합성 설계를 선택한 후 계속을 클릭하면 축 크기 조정 정보를 제공하는 옵션을 사용할 수 있습니다. 표시된 값은 축 값을 놓을 때 지정된 요인 범위의 1/2을 곱하는 데 사용됩니다. "축 값" 옆에 1.0을 지정하면 결과 설계의 축 점은 요인에 의해 정의된 입방체의 면에 놓입니다. 다음 옵션에 따라 축 값을 설정할 수 있습니다.
그림 12.14 축 값 패널
회전
예측 분산은 설계 중심과의 척도화된 거리에만 의존합니다. 축 점은 요인 범위보다 더 극단적입니다. 축 점은 요인 런 수의 4제곱근에서 설정됩니다.
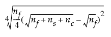
직교
효과가 서로 상관되어 있지 않으므로 추정값의 표준 오차가 가장 작고 신뢰 구간이 가장 짧습니다. 축 점은 요인 범위보다 더 극단적입니다. 축 점은 다음 계산에 의해 결정됩니다.

다음은 각 요소에 대한 설명입니다.
nf = 요인 런 수
ns = 축 점 런 수
nc = 중앙점 런 수
평면 위
축 점을 지정된 요인 범위의 극단에 놓습니다. 그러면 세 개의 요인 수준이 생성됩니다. 이 선택은 실용적이지만 결과 설계가 직교 상태가 아니거나 회전할 수 없습니다.
사용자 지정
"축 값" 텍스트 상자에 입력한 값으로 지정된 거리에 축 점을 놓습니다. 이렇게 하면 요인 수준에 대한 실제 제약 조건을 기반으로 축 값을 선택할 수 있습니다. 결과 설계는 직교 상태가 아니거나 회전할 수 없습니다.
내접
축 점이 요인 범위의 아래쪽 및 위쪽 끝에 놓이도록 설계의 척도를 재조정합니다. 요인 설계점은 이 척도에 따라 축소됩니다.