If Possible 효과가 있는 설계된 실험(베이지안 A-최적, D-최적 및 I-최적 설계)의 경우 별칭 행렬은 다음과 같이 제공됩니다.

여기서 K는 다음 값을 갖는 대각 행렬입니다.
• k = 0(필수 항의 경우)
• k = 1(If Possible 주효과, 검정력, 3수준 이상의 범주형 요인과 관련된 교호작용의 경우)
• k = 4(다른 모든 If Possible 항의 경우)
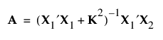
베이지안 설계의 경우 별칭 행렬은
의 사전 분산을 가진 능형 회귀에 해당하는 효과 별칭 구조를 제공합니다. 베이지안 설계에 대한 자세한 내용은 베이지안 D-최적 및 베이지안 I-최적에서 확인하십시오.
사용자 설계 플랫폼에서는 빨간색 삼각형 메뉴의 고급 옵션 > 사전 모수 분산을 선택하여 If Possible 항에 사용되는 가중치를 제어할 수 있습니다. 여기서 K의 대각 요소를 지정하여 모든 모형 항에 대한 사전 분산을 설정할 수 있습니다. "설계 생성"을 클릭하면 옵션이 업데이트되어 기본 가중치가 표시됩니다.