3개의 잡음 요인에 대해 평가되는 4개의 제어 요인을 연구하려면 Taguchi 설계를 사용합니다. 이 예는 Byrne and Taguchi(1986)에 설명된 실험입니다. 실험 목표는 나일론 튜브의 접착력(이탈력)을 최대화하기 위한 제어 요인의 설정을 찾는 것입니다.
이 설계에는 다음과 같은 4개의 신호 요인이 있습니다.
Interfer
튜브 및 커넥터 간섭. 수준이 3개인 신호 요인입니다.
Wall
커넥터의 벽 두께. 수준이 3개인 신호 요인입니다.
Depth
커넥터에 튜브를 삽입하는 깊이. 수준이 3개인 신호 요인입니다.
Adhesive
접착제 비율. 수준이 3개인 신호 요인입니다.
이 설계에는 다음과 같은 3개의 잡음 요인이 있습니다.
시간
처리 시간. 수준이 2개인 잡음 요인입니다.
Temperature
온도. 수준이 2개인 잡음 요인입니다.
Humidity
상대 습도. 수준이 2개인 잡음 요인입니다.
1. DOE > 전통적 설계 > Taguchi 배열을 선택합니다.
2. 도움말 > 샘플 데이터 폴더를 선택하고 Design Experiment/Byrne Taguchi Factors.jmp를 엽니다.
3. "Taguchi 배열" 창에서 "Taguchi 설계"의 빨간색 삼각형을 클릭하고 요인 불러오기를 선택합니다.
"요인" 패널에 3수준 제어(신호) 요인 4개와 잡음 요인 3개가 표시됩니다.
참고: 반응에 대해 선택한 "목표"에 따라 설계 데이터 테이블에 추가되는 SN 비율 계산식이 결정됩니다.
4. 내측 배열에 L9 - Taguchi가 선택되어 있는지 확인합니다.
5. 외측 배열 설계에 대해 L8을 클릭합니다.
그림 15.2 완료된 Taguchi 설계 창
6. 계속을 클릭합니다.
7. 테이블 생성을 클릭하여 Figure 15.3에 표시된 설계 테이블을 생성합니다.
내측 배열에는 각각 수준이 3개인 신호 요인 4개에 대한 9개의 런이 있습니다. 신호 요인 설정은 테이블의 처음 네 열에 제공됩니다.
외측 설계는 2수준 잡음 요인 3개에 대한 완전 요인 설계입니다. 외측 배열은 데이터 테이블의 8개 열에 제공됩니다. 열 이름은 외측 배열 런의 패턴입니다. 예를 들어 "---" 열은 모든 잡음 수준이 낮을 때 수집된 결과를 나타냅니다. 9회의 각 시행이 잡음 요인의 8개 조합에서 수행되어 실험 시행 횟수는 총 72회입니다.
그림 15.3 데이터 입력 전 Taguchi 설계
이 설계 테이블에 72개의 실험 결과를 입력할 수 있습니다.
8. 도움말 > 샘플 데이터 폴더를 선택하고 Design Experiment/Byrne Taguchi Data.jmp를 엽니다.
그림 15.4 완전한 Taguchi 설계 테이블(Byrne Taguchi Data.jmp)
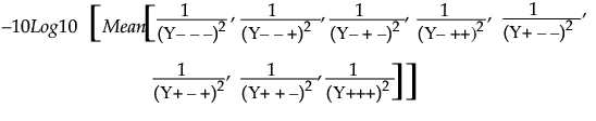
SN 비 Y 열은 반응을 최대화하기 위한 성능 통계량인 망대(LTB)입니다. 이 값은 다음과 같이 반응의 역수 제곱 평균에 대한 상용로그의 –10배로 계산됩니다.

모든 개별 y 반응 값이 클 때 이 표현식도 큽니다. 즉, 전체 잡음 설정에서 반응이 가장 큰 신호 설정을 찾으려고 합니다.
이제 데이터를 분석할 수 있습니다. 분석 목표는 평균과 신호 대 잡음 비를 모두 최대화하는 요인 설정을 찾는 것입니다.
1. Byrne Taguchi Data.jmp 데이터 테이블에서 녹색 화살표를 클릭하여 "Model" 스크립트를 실행합니다.
그림 15.5 Taguchi 데이터에 대한 모형 적합 시작 창
이 스크립트는 "모형 적합" 창을 시작합니다. 모형에는 평균(평균 Y) 및 신호 대 잡음 비(SN 비 Y) 반응을 모델링하기 위해 네 가지 신호 요인의 주효과가 포함됩니다.
2. 실행을 클릭합니다.
보고서 맨 아래의 "예측 프로파일러"를 검토하면 이 실험에서 신호 대 잡음 비의 최대값 및 해당 최대값에서의 평균 값을 제공하는 설정을 빠르게 찾을 수 있습니다.
그림 15.6 예측 프로파일러
3. "예측 프로파일러"의 빨간색 삼각형을 클릭하고 최적화 및 만족도 > 만족도 함수를 선택합니다.
이렇게 하면 Figure 15.7에 표시된 것과 같이 트레이스 행과 함수 설정 열이 프로파일러에 추가됩니다. 기본 만족도 함수는 이 실험에서 원하는 "망대(LTB)"로 설정됩니다. 예측 프로파일러의 만족도 함수에 대한 자세한 내용은 프로파일러의 프로파일러에서 확인하십시오.
4. "예측 프로파일러"의 빨간색 삼각형을 클릭하고 최적화 및 만족도 > 만족도 최대화를 선택합니다.
그림 15.7 Byrne Taguchi 데이터에 대한 최적 요인 설정
이 예에서 Interfer 및 Wall의 최적 설정은 2, Depth는 3, Adhesive는 1입니다. 이 설정은 예측 평균 값 22.8과 SN 비 26.9를 산출합니다.