모형 적합 플랫폼의 표준 최소 제곱 분석법으로 연속형 반응 열과 명목형 효과 열을 지정하여 일원 분산 분석 모형을 적합시킵니다. 일원 분산 분석에서는 명목형 변수에 의해 식별된 서로 다른 각 그룹에 서로 다른 평균이 적합됩니다.
팁: X로 Y 적합 플랫폼을 사용하여 일원 분산 분석 모형을 적합시킬 수도 있습니다. 자세한 내용은 기본 분석의 일원 분석의 예에서 확인하십시오.
1. 도움말 > 샘플 데이터 폴더를 선택하고 Drug.jmp를 엽니다.
2. 분석 > 모형 적합을 선택합니다.
3. y를 선택하고 Y를 클릭합니다.
4. Drug를 선택하고 추가를 클릭합니다.
5. 실행을 클릭합니다.
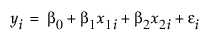
이 예에서 Drug에는 a, d, f라는 세 가지 수준이 있습니다. 표준 최소 제곱 적합 방법은 이 규격을 선형 모형으로 변환합니다. 명목형 변수는 1, 0, –1 값만 가정하는 일련의 표시 변수를 정의합니다. 선형 모형은 다음과 같이 지정됩니다.

다음은 각 요소에 대한 설명입니다.
– yi는 i번째 관측값에 대한 관측된 반응입니다.
– x1i는 i번째 관측값에 대한 첫 번째 표시 변수의 값입니다.
– x2i는 i번째 관측값에 대한 두 번째 표시 변수의 값입니다.
– b0, b1, b2는 각각 절편, 첫 번째 표시 변수, 두 번째 표시 변수에 대한 모수입니다.
– ei는 독립적이며 정규 분포를 따르는 오차 항입니다.
첫 번째 표시 변수 x1은 다음과 같이 정의됩니다. 여기서 Drug = a는 값 1, Drug = d는 값 0, Drug = f는 값 –1을 각각 표시 변수에 적용합니다.

두 번째 표시 변수 x2에는 다음 값이 제공됩니다.

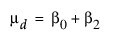
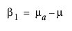
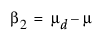
이 파라미터화와 관련하여 세 가지 수준의 평균 추정값은 다음과 같이 정의됩니다.



bi를 계산하면 다음과 같이 됩니다.
(전체 수준의 평균)


따라서 회귀변수가 각 수준의 표시자에서 마지막 수준의 표시자를 뺀 값으로 코드화되면 한 수준의 모수는 해당 수준의 반응과 모든 수준의 평균 반응 간의 차이로 해석됩니다. 명목형 요인의 파라미터화 해석에 대한 자세한 내용은 부록 통계 상세 정보에서 확인하십시오.
Figure 4.5에서는 Drug 효과에 대한 레버리지 그림과 최소 제곱 평균 테이블을 보여 줍니다. Figure 4.6에서는 약물 데이터 일원 분석에 대한 모수 추정값 보고서와 효과 검정 보고서를 보여 줍니다.
그림 4.5 Drug에 대한 레버리지 그림 및 최소 제곱 평균 테이블
그림 4.6 Drug.jmp에 대한 모수 추정값 및 효과 검정
다음과 같이 최소 제곱 평균의 대비를 사용하여 Drug 효과를 더 자세히 연구할 수 있습니다.
1. "Drug"의 빨간색 삼각형을 클릭하고 최소 제곱 평균 대비…를 선택합니다.
2. Drug a 및 d의 + 상자를 클릭하고 Drug f의 - 상자를 클릭하여 약물 a와 d의 평균을 f와 비교하는 대비를 정의합니다(Figure 4.7 참조).
3. 완료를 클릭합니다.
그림 4.7 Drug 실험에 대한 대비 예
"대비" 보고서에서는 약물 f의 최소 제곱 평균이 다른 두 약물에 대한 최소 제곱 평균의 평균과 유의하게 다르다는 것을 보여 줍니다.