프로파일러 > 프로파일러 > 예측 프로파일러의 추가 예 > 다중 반응에 대한 변수 중요도의 예
발행일 : 03/10/2025

다중 반응에 대한 변수 중요도의 예

이 예에서는 요인이 직교하는 설계된 실험의 데이터에 대한 독립적 입력을 기반으로 하는 중요도 추정값을 사용합니다. 이렇게 하려면 예측 프로파일러에서 중요도 지수의 표집 체계로 "독립 균등 입력"을 선택하면 됩니다. 일반적으로 이 규격은 실험에 정의된 설정만 가정하지 않고 설계 공간 전체에서 요인 값이 다르다고 생각하는 경우에 유용합니다.

1. 도움말 > 샘플 데이터 폴더를 선택하고 Tiretread.jmp를 엽니다.

2. RSM for 4 Responses 스크립트를 실행합니다.

"예측 프로파일러"가 보고서 맨 아래에 표시됩니다.

3. "예측 프로파일러"의 빨간색 삼각형을 클릭하고 변수 중요도 평가 > 독립 균등 입력을 선택합니다.

Figure 3.29의 "요약 보고서"가 표시됩니다. 중요도 지수는 랜덤 표집을 기반으로 하므로 추정값이 그림에 표시된 것과 약간 다를 수 있습니다.

이 보고서에는 네 가지 반응에 대한 테이블이 각각 표시됩니다. "전체" 테이블에서는 전체 반응에 대한 요인 중요도 지수의 평균을 구합니다. 예측 프로파일러의 요인(Figure 3.30)은 "전체" 테이블의 "총 효과" 중요도 순서와 일치하도록 재정렬되었습니다.

그림 3.29 네 개 반응에 대한 요약 보고서 

Summary Report for Four Responses

4. "변수 중요도: 독립 균등 입력" 옆의 빨간색 삼각형을 클릭하고 프로파일러 색 적용을 선택합니다.

"총 효과" 중요도를 반영하기 위해 빨강-흰색 강도 척도의 색상이 프로파일러 패널에 중첩됩니다. 예를 들어 Hardness에 대한 Silane 효과가 가장 중요한 효과임을 쉽게 알 수 있습니다.

그림 3.30 네 개 반응에 대한 예측 프로파일러 

Prediction Profiler for Four Responses

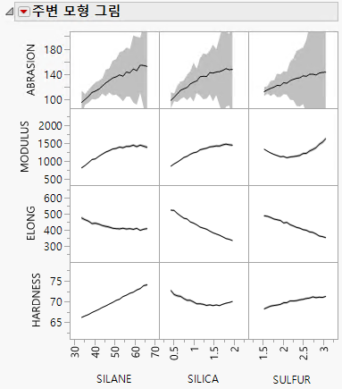
"주변 모형 그림" 보고서에는 다른 두 요인에 대한 설정이 균등 분포를 따르는 경우 각 요인의 평균 반응이 표시됩니다.

그림 3.31 네 개 반응에 대한 주변 모형 그림 

Marginal Model Plots for Four Responses

더 많은 정보를 원하십니까? 질문이 있습니까? JMP 사용자 커뮤니티에서 답변 받기 (community.jmp.com).