"혼합물" 열 특성은 데이터 테이블의 열이 혼합물의 성분(예: 혼합물 실험의 요인)을 나타내는 경우에 유용합니다. 혼합물 성분의 합은 특정 상수가 되어야 합니다. 이 때문에 비혼합물 요인과 차이가 있습니다. "혼합물" 열 특성은 다음 두 가지 용도로 사용됩니다.
• 열을 혼합물 성분으로 식별합니다.
분석 > 모형 적합 창에서 "혼합물" 열 특성이 할당된 열을 모형 효과로 추가하면 절편이 없는 모형이 자동으로 생성됩니다.
• 혼합물 성분에 대한 코딩을 정의합니다.
혼합물 성분의 코딩은 비혼합물 요인의 코딩과 다릅니다. 그러나 비혼합물 요인과 마찬가지로 혼합물 요인에 대한 코딩도 모수 추정값을 해석하는 데 도움이 된다는 장점이 있습니다. 자세한 내용은 유사성분 코드화에서 확인하십시오.
Figure A.19에서는 Design Experiment 폴더의 Vinyl Data.jmp 샘플 데이터 테이블에서 m1 요인에 대한 "혼합물" 열 특성 패널을 보여 줍니다.
그림 A.19 혼합물 열 특성 패널
"혼합물" 열 특성 패널에서 다음을 지정할 수 있습니다.
하한
유사성분 코드화에 사용되는 하한값을 지정합니다. DOE 플랫폼에서 설계 구성 중에 "혼합물" 특성이 적용되는 경우 "하한"은 요인의 최소 설정으로 지정됩니다. "혼합물" 특성을 해당 특성이 포함되지 않은 열에 적용하면 최소값이 "하한"으로 삽입됩니다. 필요에 따라 이 값을 변경할 수 있습니다.
상한
유사성분 코드화에 사용되는 상한값을 지정합니다. DOE 플랫폼에서 설계 구성 중에 "혼합물" 특성이 적용되는 경우 "상한"은 요인의 최대 설정으로 지정됩니다. "혼합물" 특성을 해당 특성이 포함되지 않은 열에 적용하면 최대값이 "상한"으로 삽입됩니다. 필요에 따라 이 값을 변경할 수 있습니다.
항 합
혼합물 성분의 합을 지정합니다. "혼합물" 특성을 해당 특성이 포함되지 않은 열에 적용하면 기본값 1이 "항 합"에 삽입됩니다.
L 유사성분 코드화
하한이 0에 해당하도록 데이터 값을 변환합니다.
U 유사성분 코드화
상한이 0에 해당하도록 데이터 값을 변환합니다.
유사성분은 선형 변환입니다. S가 혼합물 성분의 합을 나타낸다고 하겠습니다. i 열 X1, X2, ¼, Xq에 "혼합물" 열 특성이 할당되었다고 가정합니다. 이러한 열과 이 열에서 구성된 효과가 "모형 적합" 창에 효과로 입력되는 경우를 가정해 보겠습니다.
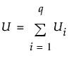
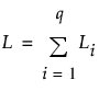
다음을 정의합니다.
여기서 Li는 Xi의 하한입니다.
여기서 Ui는 Xi의 상한입니다.
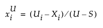
xi가 Xi 열의 값을 나타낸다고 하면 xi에서 L 유사성분은 다음과 같이 정의됩니다.

xi에서 U 유사성분은 다음과 같이 정의됩니다.

L 유사성분 코드화와 U 유사성분 코드화를 둘 다 선택하는 경우, (S – L) < (U – S)이면 모형 적합 플랫폼에서 L 코드화를 사용합니다. 그렇지 않은 경우 U 코드화가 사용됩니다.
모형 적합에서는 모수 추정값을 계산하기 전에 유사성분을 사용하여 혼합물 요인이 변환됩니다. 이렇게 하면 모수 추정값을 더 의미 있게 만드는 데 도움이 됩니다. 모수 추정값과 관련된 보고서에서 혼합 주효과는 코딩 변환에 의해 제공됩니다. 프로파일러와 같은 다른 보고서는 코드화되지 않은 값을 기반으로 합니다.