이 섹션에서는 단일 설계 모수에 대한 검정력을 계산하는 방법을 설명합니다. 다음 표기가 사용됩니다.
X
모형 행렬입니다. 명목형 효과의 코딩에 대한 자세한 내용은 선형 모형 적합의 명목형 효과 코딩에 대한 통계 상세 정보에서 확인하십시오. 모형 행렬에 나오는 내용도 참조하십시오.
참고: 모형 적합을 실행하여 모형 행렬을 볼 수 있습니다. 그런 다음 기본 보고서의 빨간색 삼각형 메뉴에서 열 저장 > 코딩 테이블 저장을 선택하십시오.
bi
관심 항에 해당하는 모수입니다.

bi의 최소 제곱 추정량입니다.

예상 계수 값입니다. 감지할 차이는
입니다.
의 분산은
의 i번째 대각 항목으로 구합니다. 여기서 σ2은 오차 분산입니다.
의 i번째 대각 항목은
로 나타냅니다.
오차 분산 σ2은 MSE를 사용하여 추정되고 자유도가 n - p - 1입니다. 여기서 n은 관측값 수이고, p는 모형에서 절편을 제외한 항 수입니다. n - p - 1 = 0이면 JMP는 오차의 자유도를 1로 설정합니다. 이렇게 하면 포화 설계의 모수에 대해 검정력이 추정됩니다.
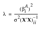
검정은 다음 비율로 지정됩니다.

다음 방정식을 사용하여 동일하게 지정할 수도 있습니다.

귀무가설 하에서 검정 통계량 F0은 1 및 n - p - 1 자유도에서 F 분포를 따릅니다.
의 실제 값이
인 경우 F0은 다음 방정식으로 계산된 비중심성 모수를 갖는 비중심 F 분포를 따릅니다.

검정력을 계산하려면 먼저 a 수준 임계값(Fc)을 구합니다.

그런 다음 아래와 같이 검정력을 계산합니다.
