시계열 플랫폼의 각 "상태 공간 평활" 보고서에는 모형을 식별하는 고유한 개요 이름이 있습니다. 각 모형이 모형 비교 테이블에 추가됩니다. "모형 비교" 테이블에서 모형에 대한 "보고서" 체크박스를 선택하면 "상태 공간 평활" 보고서가 나타납니다. 다음 보고서가 포함됩니다.
모형 유형
계열의 선택된 모형에 대한 오차, 추세 및 계절성을 설명합니다.
모형 요약
모형에 대한 적합 통계량을 포함합니다. 아래 계산식에서 n은 계열의 길이이고 k는 모형에 있는 적합 모수의 수입니다.
-2*로그 가능도
최량 적합 모수 추정값에서 계산된 음의 로그 가능도 함수의 두 배입니다. 값이 작을수록 더 나은 적합을 나타냅니다. 자세한 내용은 가능도, AICc 및 BIC의 선형 모형 적합에서 확인하십시오.
AIC
-2*로그 가능도 + 2k로 계산되는 AIC(Akaike 정보 기준) 값입니다. AIC 값이 작을수록 더 나은 적합을 나타냅니다.
BIC
-2*로그 가능도 + k*ln(n)으로 계산되는 SBC(Schwarz 베이지안 기준) 값입니다. SBC 값이 작을수록 더 나은 적합을 나타냅니다. Schwarz 베이지안 기준은 BIC(베이지안 정보 기준)와 같습니다.
모수 수
정보 기준 계산의 모수 수입니다. 이 수는 가능도 함수의 모수 수이며, 예측 계산식의 모수 수에 1을 더한 값과 같습니다.
참고:"모수 수"는 모수 추정값 테이블에 있는 모수의 수가 아닙니다.
시그마
1시차 후 예측 표준편차의 추정값입니다.
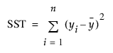
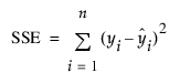
R²
다음과 같이 계산되는 R² 값입니다.

다음은 각 요소에 대한 설명입니다.


1시차 후 예측
평균
모형이 계열에 잘 적합되지 않으면 모형 SSE(오차 제곱합)가 SST(총 제곱합)보다 클 수 있습니다. 따라서 R2이 음수일 수 있습니다.
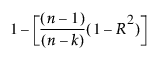
Adj-R²
다음과 같이 계산되는 수정 R2 값입니다.

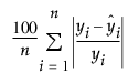
MAPE
다음과 같이 계산되는 평균 절대 백분율 오차 값입니다.

여기서,
1시차 후 예측
MAE
다음과 같이 계산되는 평균 절대 오차 값입니다.

여기서,
1시차 후 예측
모수 추정값
모형의 각 모수에 대한 추정값, 표준 오차 및 95% 신뢰 구간을 보여 주는 테이블입니다.
예측
시계열에 대한 관측값과 예측값을 모두 보여 주는 그림입니다. 자세한 내용은 예측에서 확인하십시오.
1시차 후 예측 오차
시간에 따른 1시차 후 예측 오차에 대한 그림입니다. 오차는 각 시점 t에 대해 t에서의 시계열 관측값에서 t에서의 1시차 후 예측값을 뺀 값으로 계산됩니다. 홀드백 집합을 지정하면 훈련 데이터에 대해서만 오차가 계산됩니다. 오차에 대한 자기상관 및 편자기상관 보고서도 표시됩니다.
홀드백 계열에 대한 예측 오차
(홀드백 집합을 지정한 경우에만 사용 가능) 홀드백 집합의 관측값에 대한 예측 오차 그림입니다. 오차에 대한 자기상관 및 편자기상관 보고서도 표시됩니다.
성분 상태
모형의 각 상태에 대한 그림과 모형의 해당 계산식을 포함하는 보고서입니다. 각 그림에는 계열의 상태 추정값과 상태 예측이 포함됩니다. 홀드백 집합을 지정한 경우 상태 추정값은 훈련 부분을 대상으로 하고 상태 예측은 홀드백 부분을 대상으로 합니다. 홀드백 집합을 지정하지 않은 경우 상태 추정값은 시계열의 마지막 관측값까지 포함하는 부분을 대상으로 하고 상태 예측은 시계열의 마지막 관측값 이후를 대상으로 합니다. 모형은 수준, 추세 및 계절이라는 최대 세 개의 상태를 가질 수 있습니다.
"성분 상태"의 빨간색 삼각형 메뉴에는 "상태 저장" 옵션이 있습니다. 각 시점의 성분 상태를 별도의 데이터 테이블에 저장하려면 이 옵션을 선택합니다.
승법 오차 모형의 1시차 후 상대 예측 오차
(승법 오차 모형에만 사용 가능) 시간에 따른 1시차 후 상대 예측 오차에 대한 그림입니다. 오차는 각 시점 t에 대해 t에서의 1시차 후 예측 오차를 t에서의 1시차 후 예측값으로 나누어 계산됩니다.
각 상태 공간 평활 보고서에는 다음 옵션이 포함된 빨간색 삼각형 메뉴가 있습니다.
점 표시
예측 그래프에 데이터 점을 표시하거나 숨깁니다.
예측 구간 표시
예측 그래프에 예측 구간을 표시하거나 숨깁니다.
열 저장
모형 결과를 나타내는 열이 포함된 새 데이터 테이블을 생성합니다.
적합 제거
보고서에서 개별 모형 적합을 제거합니다.