발행일 : 03/10/2025

근사 F-검정에 대한 통계 상세 정보

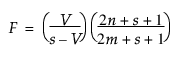
F 값과 자유도를 계산하기 위해 p의 계수가 Equation shown here이고 q의 계수가 Equation shown here이라고 하겠습니다. 여기서 L 행렬은 검정 중인 효과와 관련된 Equation shown here의 요소를 식별합니다. v는 오차 자유도가 되도록 하고 spq의 최소값이 되도록 합니다. 또한 Equation shown hereEquation shown here이 되도록 합니다.

Table 10.2에서는 해당 검정 통계량에서 구한 각 근사 F의 계산을 보여 줍니다.

표 10.2 근사 F 통계량

검정

근사 F

분자 DF

분모 DF

Wilks 람다

Equation shown here

Equation shown here

Equation shown here

Pillai 대각합

Equation shown here

Equation shown here

Equation shown here

Hotelling-Lawley 대각합

Equation shown here

Equation shown here

Equation shown here

Roy 최대근

Equation shown here

Equation shown here

Equation shown here

더 많은 정보를 원하십니까? 질문이 있습니까? JMP 사용자 커뮤니티에서 답변 받기 (community.jmp.com).