발행일 : 03/10/2025

곡선 적합 모형에 대한 통계 상세 정보

Table 14.1에는 "곡선 적합"의 빨간색 삼각형 메뉴에서 사용할 수 있는 모형에 대한 계산식이 요약되어 있습니다.

표 14.1 곡선 적합 모형 계산식

모형

계산식

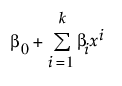
다항

Image shown here

Equation shown here

여기서 k는 다항식의 차수입니다. 이러한 모형은 모형 적합 플랫폼과 X로 Y 적합 플랫폼을 사용하여 적합시킬 수도 있습니다.

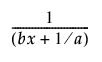
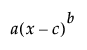
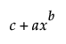
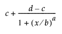
거듭제곱 모형

Image shown here

Equation shown here

a = 절편

b = 기울기

c = 거듭제곱

반응 값과 x 값이 모두 음수가 아닌 경우에만 사용할 수 있습니다.

로지스틱 2P

Image shown here

Equation shown here

a = 증가율

b = 변곡점

모든 반응 값이 0에서 1 사이인 경우에만 사용할 수 있습니다.

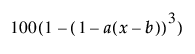
로지스틱 3P

Image shown here

Equation shown here

a = 증가율

b = 변곡점

c = 점근선

로지스틱 4P

Image shown here

Equation shown here

a = 증가율

b = 변곡점

c = 하위 점근선

d = 상위 점근선

로지스틱 4P Rodbard

Image shown here

Equation shown here

a = 증가율

b = 위치

c = 하위 점근선

d = 상위 점근선

X 값이 양수인 경우에만 사용할 수 있습니다.

로지스틱 4P Hill

Image shown here

Equation shown here

a = 증가율

b = 변곡점

c = 하위 점근선

d = 상위 점근선

로지스틱 5P

Image shown here

Equation shown here

a = 증가율

b = 위치

c = 점근선 1

d = 점근선 2

f = 검정력

프로빗 2P

Image shown here

Equation shown here

a = 증가율

b = 변곡점

F = 정규 분포 CDF

모든 반응 값이 0에서 1 사이인 경우에만 사용할 수 있습니다.

프로빗 3P

Image shown here

Equation shown here

a = 증가율

b = 변곡점

c = 점근선

F = 정규 분포 CDF

또한 0에 점근선이 있습니다.

프로빗 4P

Image shown here

Equation shown here

a = 증가율

b = 변곡점

c = 하위 점근선

d = 상위 점근선

F = 정규 분포 CDF

Gompertz 3P

Image shown here

Equation shown here

a = 점근선

b = 증가율

c = 변곡점

Gompertz 4P

Image shown here

Equation shown here

a = 하위 점근선

b = 상위 점근선

c = 증가율

d = 변곡점

Weibull 성장

Image shown here

Equation shown here

a = 상위 점근선

b = 위치

c = 증가율

반응 값과 x 값이 모두 음수가 아닌 경우에만 사용할 수 있습니다.

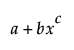
지수 2P

Image shown here

Equation shown here

a = 척도

b = 증가율

지수 3P

Image shown here

Equation shown here

a = 점근선

b = 척도

c = 증가율

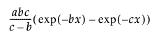
이중 지수 4P

Image shown here

Equation shown here

a = 척도 1

b = 감소율 1

c = 척도 2

d = 감소율 2

반응 값이 양수인 경우에만 사용할 수 있습니다.

이중 지수 5P

Image shown here

Equation shown here

a = 점근선

b = 척도 1

c = 감소율 1

d = 척도 2

f = 감소율 2

기계적 성장

Image shown here

Equation shown here

a = 점근선

b = 척도

c = 증가율

하이브리드 지수

Image shown here

Equation shown here

a = 최대값

b = 척도

c = 비율

d = 거듭제곱

반응 값과 x 값이 모두 음수가 아닌 경우에만 사용할 수 있습니다.

셀 성장 4P

Image shown here

Equation shown here

a = 사멸 비율 d가 0인 경우 정상점 값

b = 시간 0에서 반응

c = 셀 분화 비율

d = 셀 사멸 비율

반응 값이 양수이고 x 값이 음수가 아닌 경우에만 사용할 수 있습니다.

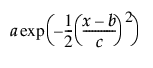
가우시안 정상점

Image shown here

Equation shown here

a = 정상점 값

b = 임계점

c = 증가율

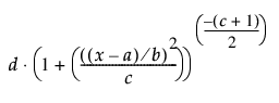
비대칭 가우시안 정상점

Image shown here

Equation shown here

a = 임계값

b = 척도 1

c = 척도 2

d = 정상점 값

반응 값이 음수가 아닌 경우에만 사용할 수 있습니다.

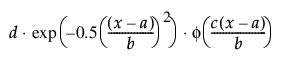
편중된 정규 정상점

Image shown here

Equation shown here

a = 위치

b = 척도

c = 왜도

d = 정상점 값

f = 표준 정규 pdf

반응 값이 음수가 아닌 경우에만 사용할 수 있습니다.

ExGaussian 정상점(지수 수정 가우시안 정상점)

Image shown here

Equation shown here

a = AUC(곡선 아래 면적)

b = 위치

c = 척도

d = 람다

f = 표준 정규 pdf

유사 Voigt 정상점

Image shown here

Equation shown here

d = 혼합 모수

l(x) = 로렌츠 정상점 함수 계산

g(x) = 가우시안 정상점 함수 계산

반응 값이 음수가 아닌 경우에만 사용할 수 있습니다.

Pearson VII 정상점

Image shown here

Equation shown here

a = 위치

b = 척도

c = 형상

d = 정상점 값

반응 값이 음수가 아닌 경우에만 사용할 수 있습니다.

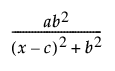
로렌츠 정상점

Image shown here

Equation shown here

a = 정상점 값

b = 증가율

c = 임계점

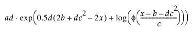
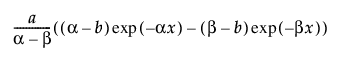
1구획 경구 투여

Image shown here

Image shown here

Equation shown here

a = 곡선 아래 면적

b = 제거율

c = 흡수율

반응 값과 x 값이 모두 양수인 경우에만 사용할 수 있습니다.

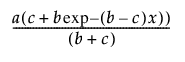
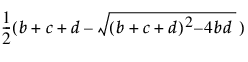
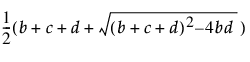
2구획 정맥 투여

Image shown here

Image shown here

Equation shown here

a =Equation shown here

b =Equation shown here

a = 초기 농도

b = 유입 속도

c = 유출 속도

d = 제거율

반응 값과 x 값이 모두 양수인 경우에만 사용할 수 있습니다.

Michaelis Menten

Image shown here

Equation shown here

a = 최대 속도

b = Michaelis 상수

반응 값과 x 값이 모두 양수인 경우에만 사용할 수 있습니다.

역 Michaelis-Menten

Image shown here

Equation shown here

a = 최대 속도

b = Michaelis 상수

반응 값과 x 값이 모두 양수인 경우에만 사용할 수 있습니다.

1차 비율

Image shown here

Equation shown here

a = 초기값

b = 비율 상수

X 값이 음수가 아닌 경우에만 사용할 수 있습니다.

한계를 사용한 1차

Image shown here

Equation shown here

a = 초기값

b = 값 제한

c = 비율 상수

X 값이 음수가 아닌 경우에만 사용할 수 있습니다.

평형을 사용한 1차

Image shown here

Equation shown here

a = 초기값

b = 전진 비율

c = 후진 비율

X 값이 음수가 아닌 경우에만 사용할 수 있습니다.

2차

Image shown here

Equation shown here

a = 초기값

b = 비율 상수

X 값이 음수가 아닌 경우에만 사용할 수 있습니다.

두 성분을 사용한 2차

Image shown here

Equation shown here

a = 초기값

b = 오프셋

c = 비율 상수

모든 x 값이 음수가 아닌 경우에만 사용할 수 있습니다.

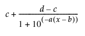
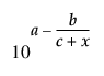
Antoine 방정식

Image shown here

Equation shown here

a = 성분별 상수

b = 성분별 상수

c = 성분별 상수

반응 값이 0보다 큰 경우에만 사용할 수 있습니다.

세로 점근선은 10a에 있습니다.

가로 점근선은 -c에 있습니다.

Higuchi

Image shown here

Equation shown here

a = 릴리스 상수

모든 x y 값이 음수가 아닌 경우에만 사용할 수 있습니다.

시차를 사용한 Higuchi

Image shown here

Equation shown here

a = 릴리스 상수

b = 시차

모든 x y 값이 음수가 아닌 경우에만 사용할 수 있습니다.

버스트를 사용한 Higuchi

Image shown here

Equation shown here

a = 릴리스 상수

b = 버스트

모든 x y 값이 음수가 아닌 경우에만 사용할 수 있습니다.

Hixson-Crowell

Image shown here

Equation shown here

a = 릴리스 상수

모든 x y 값이 음수가 아닌 경우에만 사용할 수 있습니다.

시차를 사용한 Hixson-Crowell

Image shown here

Equation shown here

a = 릴리스 상수

모든 x y 값이 음수가 아닌 경우에만 사용할 수 있습니다.

Korsmeyer-Peppas

Image shown here

Equation shown here

a = 릴리스 상수

b = 확산 지수

모든 x y 값이 음수가 아닌 경우에만 사용할 수 있습니다.

시차를 사용한 Korsmeyer-Peppas

Image shown here

Equation shown here

a = 릴리스 상수

b = 확산 지수

c = 시차

모든 x y 값이 음수가 아닌 경우에만 사용할 수 있습니다.

버스트를 사용한 Korsmeyer-Peppas

Image shown here

Equation shown here

a = 릴리스 상수

b = 확산 지수

c = 버스트

모든 x y 값이 음수가 아닌 경우에만 사용할 수 있습니다.

더 많은 정보를 원하십니까? 질문이 있습니까? JMP 사용자 커뮤니티에서 답변 받기 (community.jmp.com).