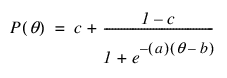
항목 분석 플랫폼에는 항목 반응 곡선을 모델링하기 위한 1모수, 2모수 및 3모수 로지스틱 모형이 있습니다. 3PL(3모수 로지스틱) 모형은 다음과 같이 정의됩니다.

• P(q)는 능력 수준 q에 대해 항목에 올바르게 답할 확률입니다. 항목 반응 이론 모형 적합에 대한 자세한 내용은 IRT 모형 적합에 대한 통계 상세 정보에서 확인하십시오.
• a 모수는 변곡점에서 곡선의 경사도를 정의합니다. 이 모수는 항목의 판별력 추정값을 제공합니다.
• b 모수는 능력 축에서 변곡점 위치를 정의합니다. 이 모수는 항목의 난이도 추정값을 제공합니다.
• c 모수는 하위 점근선입니다. 이 모수는 추측을 통해 항목에 올바르게 답할 확률의 추정값을 제공합니다.
• 2PL 모형의 경우 c 모수는 0으로 설정됩니다.

• 1PL 모형의 경우 c 모수는 0으로 설정되고 a 모수는 1로 설정됩니다. 이 파라미터화를 Rasch 모형이라고도 합니다(Rasch 1980 참조).

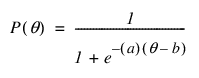
2PL 및 3PL 모형의 a 모수, 즉 변곡점에서 곡선의 경사도는 항목의 판별력 측도를 제공합니다. 항목의 판별력 또는 판별은 능력 수준이 낮은 응답자와 능력 수준이 높은 응답자를 항목이 얼마나 잘 구별할 수 있는지를 나타냅니다. 가파른 항목 반응 곡선은 항목의 판별력이 크다는 것을 나타냅니다. 능력 수준이 낮은 응답자는 항목에 올바르게 반응할 확률이 낮은 반면 능력이 높은 응답자는 올바르게 반응할 확률이 높습니다. 비교적 곡선이 편평한 항목은 판별력이 낮습니다. 판별력이 낮은 항목은 측정기에서 탈락할 후보입니다.
그림 12.10 여러 a 값에 대한 로지스틱 모형
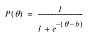
b 모수, 즉 능력에 대한 변곡점 위치는 항목 난이도 측도를 제공합니다. 능력 척도에서 변곡점 위치가 오른쪽으로 더 멀리 있는 항목 반응 곡선은 변곡점이 왼쪽에 있는 항목보다 답하기 어려운 항목을 나타냅니다. 1PL 및 2PL 모형에서 b 모수는 항목에 올바르게 답할 확률이 50%가 되기 위해 필요한 능력 수준의 추정값을 제공합니다.
그림 12.11 여러 b 값에 대한 로지스틱 곡선
3PL 모형에서 c 모수, 즉 항목 반응 곡선의 하위 점근선은 추측 모수 측도를 제공합니다. 0이 아닌 하위 점근선은 능력 수준이 매우 낮은 사람이 항목에 올바르게 답할 확률이 0이 아님을 나타냅니다.
그림 12.12 여러 c 값에 대한 로지스틱 모형