기본 분석 > 분포 > 분포 플랫폼에 대한 통계 상세 정보 > 정규 분위수에 대한 통계 상세 정보
발행일 : 03/10/2025

정규 분위수에 대한 통계 상세 정보

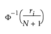
분포 플랫폼의 정규 분위수 값은 다음과 같이 계산됩니다.

Equation shown here

다음은 각 요소에 대한 설명입니다.

F - 정규 분포의 누적 확률 분포 함수입니다.

ri - i번째 관측값의 순위입니다.

N - 비결측 관측값의 개수입니다.

더 많은 정보를 원하십니까? 질문이 있습니까? JMP 사용자 커뮤니티에서 답변 받기 (community.jmp.com).