기본 분석 > 분포 > 분포 플랫폼에 대한 통계 상세 정보 > 예측 구간에 대한 통계 상세 정보
발행일 : 03/10/2025

예측 구간에 대한 통계 상세 정보

분포 플랫폼의 예측 구간은 다음과 같이 정의됩니다.

미래 관측값이 m개인 경우:

Equation shown here (단, Equation shown here)

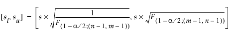
미래 관측값 m 개의 평균을 사용하는 경우:

Equation shown here (단, Equation shown here)

미래 관측값 m개의 표준편차를 사용하는 경우:

Equation shown here (단, Equation shown here)

여기서 m은 미래 관측값의 개수이고, n은 현재 분석 표본에 포함된 점의 개수입니다.

단측 구간은 분위수 함수에서 1-a를 사용하여 구합니다.

자세한 내용은 Meeker et al. (2017, ch. 4) 연구 자료에서 확인하십시오.

더 많은 정보를 원하십니까? 질문이 있습니까? JMP 사용자 커뮤니티에서 답변 받기 (community.jmp.com).