반복 공분산 구조에 대한 통계 상세 정보이 섹션에서는 모형 적합 플랫폼의 혼합 모형 분석법에서 다음 공분산 구조에 대한 파라미터화를 제공합니다.
이분산 공분산 구조
시간 j에서 관측값 간의 분산은 다음과 같습니다.

분산은 반복 열의 수준마다 다를 수 있습니다. 서로 다른 수준에서 관측값 간의 공분산은 0입니다.
비정형 공분산 구조
시간 j에서 관측값 간의 분산은 다음과 같습니다.

시간 j및 j¢에서 관측값 간의 공분산은 다음과 같습니다.

분산은 반복 열의 수준마다 다를 수 있습니다. 서로 다른 수준에서 관측값 간의 공분산은 고유합니다.
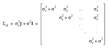
복합 대칭 공분산 구조JMP에서 복합 대칭 공분산 구조는 독립 오차 방법의 혼합 모형을 사용하여 구현됩니다. 임의 효과는 두 가지 범주(G측 또는 R측)로 분류됩니다. 자세한 내용은 Searle et al. 연구 자료(1992)에서 확인하십시오.
G측 임의 효과는 임의 효과에 대한 설계 행렬과 관련됩니다. R측 임의 효과는 잔차 오차와 관련됩니다. 개체 내 분산은 설계 구조의 일부이며 G측에서 모델링됩니다. 개체 간 분산은 잔차 구조에 속하며 R측에서 모델링됩니다. 독립 구조의 분산은 다음과 같은 방식으로 모델링됩니다.
• 임의 효과 G측 분산은 sik ~ iid N(0, ss2)으로 모델링됩니다.
• R측 분산은 eijk ~ iid N(0, s2)으로 모델링됩니다.
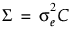
그러면 공분산 행렬이 다음과 같이 정의됩니다.

여기서 J는 1로 구성된 행렬이고 I는 항등 행렬입니다.
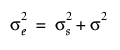
모든 분산을 R측에서 모델링할 수도 있습니다. 가우시안 가정을 고려할 때 이 복합 대칭 공분산 구조는 독립 모형(SAS의 Type=CS)과 동일합니다. 이 구조는 JMP에서 반복 구조 탭의 복합 대칭 구조를 통해 사용할 수 있습니다. 여기서 반복 관측값 쌍 간의 상관관계는 관측값 간의 시간 차이에 관계없이 동일합니다. 따라서 상관 행렬을 다음과 같이 지정할 수 있습니다.

또한 JMP에서 복합 대칭 구조를 사용하면 모든 시점에서 관측값 간에 공통 분산(
)을 가정할 수 있습니다. 그러면 공분산 구조는
이고, 다음과 같습니다.

및
.
여기서 r은 급내 상관계수이고
은 잔차 분산입니다. JMP에서 복합 대칭 이분산 구조를 사용할 수도 있습니다. 이 방법은 시점에 따라 분산이 다를 수 있습니다. 그러면 다음과 같은 공분산 행렬이 생성됩니다.

AR(1) 공분산 구조
여기서 tj는 관측값 j의 시간입니다. 이 구조에서 지정된 시간의 관측값은 동일한 분산(s2)을 가집니다. r(-1 < r < 1) 모수는 한 단위 시간 간격을 갖는 두 관측값 간의 상관입니다. 관측값 간의 시간 차이가 증가하면 r 모수가 더 크게 거듭제곱되므로 공분산이 감소합니다. 대부분 AR(1)은 제1종 오류 제어를 유지하면서 더 높은 검정력으로 개체 내 상관을 위한 적절한 모형을 제공합니다.
Toeplitz 공분산 구조Toeplitz 구조에서 고정된 수의 시간 단위로 구분된 관측값은 동일한 상관을 가집니다. AR(1) 상관 구조와 달리 고정된 시간 차이에서 Toeplitz 상관은 임의적입니다. d 단위 간격의 관측값에 대한 상관을 rd로 나타냅니다. 상관 행렬은 다음과 같이 정의됩니다.

JMP의 다음 두 옵션은 이 상관 행렬을 사용합니다.
• Toeplitz 구조는 모든 시점의 관측값에 대해 공통 분산(s2)을 가정합니다. 공분산 구조는
입니다.
• Toeplitz 이분산 구조를 사용하면 시점에 따라 분산이 다를 수 있습니다.

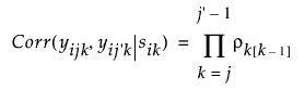
Antedependent 공분산 구조Antedependence 모형은 유연하고 시간에 따라 상관 구조가 달라질 수 있는 일반 모형입니다. 이 모형에서 인접한 시점 j - 1과 j에서 두 관측값 간의 상관은 고유하며 rj[j−1]로 나타냅니다.
인접하지 않은 시점 j와j¢에서 관측값 쌍 간의 상관은 그 사이에 있는 모든 인접 상관의 곱입니다.

예를 들어 시점 j=2와 j¢=6에서 관측값 쌍 간의 상관은 r21r32r43r54가 됩니다.
상관 행렬은 다음과 같이 정의됩니다.

JMP의 다음 두 옵션은 이 상관 행렬을 사용합니다.
• Antedependent 등분산 구조는 상관이 달라질 수 있다는 것은 허용하지만 전체 관측 시간에서 동일한 분산을 가정합니다. 관측값 간의 분산은 항상 s2이고 공분산 행렬은
입니다.
• Antedependent 구조를 사용하면 지정된 시간에서 관측값 간의 분산이 달라질 수 있습니다. 시간 j에서 관측값 간의 분산은
로 나타냅니다. 그러면 공분산 행렬이 다음과 같이 정의됩니다.
