기본 분석 > 분포 > 분포 플랫폼에 대한 통계 상세 정보 > 스코어 신뢰 구간에 대한 통계 상세 정보
발행일 : 03/10/2025

스코어 신뢰 구간에 대한 통계 상세 정보

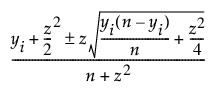
분포 플랫폼에서는 범주형 반응 변수의 각 수준에서 확률에 대한 스코어 신뢰 구간을 계산합니다. 각 반응 수준에 대한 스코어 신뢰 구간은 다음과 같이 정의됩니다.

Equation shown here

다음은 각 요소에 대한 설명입니다.

yi - 반응의 i번째 수준에 있는 관측값 수입니다.

n - 전체 관측값 수입니다.

z - 표준 정규 분포의 (a/2)번째 분위수입니다.

자세한 내용은 Agresti and Coull 연구 자료(1998)에서 확인하십시오.

더 많은 정보를 원하십니까? 질문이 있습니까? JMP 사용자 커뮤니티에서 답변 받기 (community.jmp.com).