이 섹션에서는 공정 능력 플랫폼의 목표 그림에 표시된 규격 값으로 표준화된 평균 변화 및 표준편차의 계산에 대해 자세히 설명합니다. 이 섹션에서는 표기에 대한 통계 상세 정보에 정의된 표기를 사용합니다.
j번째 열에 대해 규격 한계로 표준화된 평균 변화 및 표준편차는 다음과 같이 정의됩니다.
규격으로 표준화된 평균 = 
규격으로 표준화된 표준편차 = 
참고: LSLj 또는 USLj 중 하나가 결측이면 목표값과 비결측 규격 한계 사이 간격의 2배가 목표 그림 좌표의 분모에 사용됩니다.
공정에 규격 하한과 상한이 모두 있지만 목표값이 없는 경우를 가정해 보겠습니다. 그러면 목표 그림에 대한 통계 상세 정보에 제공된 계산식에서 Tj를 두 규격 한계의 중간점으로 대체하여 사용됩니다.
공정에 규격 한계가 하나만 있고 목표값이 없는 경우를 가정해 보겠습니다. 목표 그림의 한 점에 대한 (x,y) 좌표를 구하려면 해당 공정의 공정 능력 지수가 사용됩니다. 이론적 평균 및 표준편차에 대한 정의는 정규 분포의 공정 능력 지수에 대한 통계 상세 정보에서 확인하십시오. 표본 관측값의 경우 다음 관계가 유지됩니다.


공정에 두 개의 규격 한계가 있고 한계의 중간점이 목표값인 경우 목표 그림의 한 점에 대한 (x,y) 좌표는 다음 관계를 충족합니다.


규격 한계가 하나뿐이고 목표값이 없는 경우 좌표를 구하려면 이러한 관계가 사용됩니다. 고유 점을 식별하려면 원점에서 점이 속한 선의 기울기에 대한 가정이 필요합니다. 규격 상한과 하한의 경우 기울기는 각각 0.5와 -0.5로 가정됩니다. 공정 능력 값이 1이고 목표 그림 삼각형의 Ppk 슬라이더가 1로 설정된 경우 이러한 기울기는 목표 그림 삼각형 선 위에 점을 배치합니다.
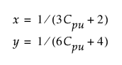
규격 상한만 있고 목표값이 없는 경우를 예로 들어보겠습니다. 원점에서 0.5 기울기의 선 위에 (x,y) 좌표가 배치된다는 가정을 사용하여 x와 y를 계산하면 다음 좌표가 제공됩니다.

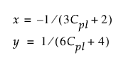
규격 하한만 있고 목표값이 없는 경우를 예로 들어보겠습니다. 원점에서 -0.5 기울기의 선 위에 (x,y) 좌표가 배치된다는 가정을 사용하여 x와 y를 계산하면 다음 좌표가 제공됩니다.

참고: Cpu 또는 Cpl이 -0.6 미만이면 위의 계산식에서 값이 -0.6으로 설정됩니다. 값 -2/3에서 x의 분모는 값 0을 가정합니다. 공정 능력 값을 -0.6으로 제한하면 분모 값을 0으로 가정하거나 부호가 바뀌는 것을 방지할 수 있습니다.