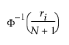
분포 플랫폼에서 각 정규 분위수 그림 값에 대한 경험적 누적 확률은 다음과 같이 계산됩니다.

여기서 ri는 i번째 관측값의 순위이고, N은 비결측이면서 제외되지 않은 관측값의 개수입니다.
정규 분위수 값은 다음과 같이 계산됩니다.

여기서 F는 정규 분포의 누적 확률 분포 함수입니다.
이 정규 분위수 값은 정규 분포에 기대되는 순서 통계량에 대한 Van Der Waerden 근사값입니다.
참고: 정규 분위수 값을 적합된 분포의 분위수로 대체하여 해당 Q-Q 그림을 생성할 수 있습니다.