기본 분석 > 분포 > 분포 플랫폼에 대한 통계 상세 정보 > 표준편차 검정에 대한 통계 상세 정보
발행일 : 03/10/2025

표준편차 검정에 대한 통계 상세 정보

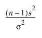
분포 플랫폼에서 표준편차 검정의 검정 통계량은 다음과 같이 계산됩니다.

Equation shown here

이 검정 통계량은 모집단이 정규 데이터일 때 자유도가 n - 1인 카이제곱 변수로 분포됩니다.

최소 p 값은 양쪽 꼬리 검정의 p 값으로, 다음과 같이 계산됩니다.

2 * min(p1,p2)

여기서 p1은 아래쪽 꼬리의 p 값이고 p2는 위쪽 꼬리의 p 값입니다.

더 많은 정보를 원하십니까? 질문이 있습니까? JMP 사용자 커뮤니티에서 답변 받기 (community.jmp.com).