다차원 척도법 플랫폼에서 변환은 실제 근접성을 척도화하는 데 사용됩니다. 변환은 데이터의 특정 구조를 고려하여 실제 근접성의 MDS 표현을 향상시키는 것으로 간주됩니다. 변환 함수의 모수는 최소화 알고리즘의 추가 모수가 됩니다. 이 섹션에서는 스트레스 함수에 대한 통계 상세 정보에 설명된 표기를 사용합니다.
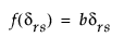
비율 데이터의 경우:

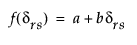
구간 데이터의 경우:

순서형 데이터의 경우 데이터가 변환되지 않으며 최소 제곱 회귀 대신 단조 회귀가 알고리즘에 사용됩니다.