能力箱线图为分析中选定的每个变量显示一个箱线图。每列的值以其目标值为中心,并以规格限之间的差值统一尺度。若目标不在规格限的中心,则值将按目标与规格限之间最小差值的两倍统一尺度。对于每个过程列 Yj(请参见用于目标图和能力箱线图的符号,了解符号说明):

对于仅有单侧规格的过程,请参见单侧或缺失规格限。有关未指定目标的情形,请参见缺失目标的过程的能力箱线图。
注意:非“正态”分布的过程变量不会标绘在能力箱线图上。
Figure 7.11显示了 Semiconductor Capability.jmp 样本数据表中的八个变量的“能力箱线图”报表。
图 7.12 能力箱线图
该图显示在 ±0.5 处各绘制了一条绿色虚线。
• 对于目标在其规格限之间居中显示的过程,绿色虚线表示标准化规格限。
• 对于目标未在其规格限之间居中显示的过程,其中一条绿色虚线表示更接近目标的限值的标准化规格限。另一条绿色虚线表示反方向上相同的距离。
该图可用于将变量与其规格限加以比较。例如,在Figure 7.12 中,IVP1 的大多数点都高于其上规格限,而 IVP2 的大多数点都小于其目标。PNP2 看起来位于目标上,并且所有数据点都位于规格限以内。
若某列只有一个规格限,则颜色的使用方式如下:
• 若仅指定了上规格限 (USL),箱线图将显示为蓝色。
• 若仅指定了下规格限 (LSL),箱线图将显示为红色。
• 若至少有一个过程仅有上规格限,则 0.5 处的虚线显示为蓝色。
• 若至少有一个过程仅有下规格限,则 -0.5 处的虚线显示为红色。
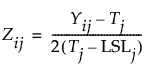
假定仅指定了下规格限和过程目标。能力箱线图基于变换观测的以下值。请参见用于目标图和能力箱线图的符号,了解符号说明:

假定仅指定了上规格限和过程目标。能力箱线图基于变换观测的以下值:

有关如何在仅有单侧规格限时处理缺失目标的详细信息,请参见单个规格限且无目标。