“设计诊断”分级显示项显示相对于比较设计的参考设计的 D、G、A 和 I 效率。其中还显示“额外试验规模”。对于给定的两个设计,相对效率测度值更高的设计好一些。
图 16.29 三个设计的设计诊断
Figure 16.29显示在试验规模不同的设计中构造的三个设计的“设计诊断”报表(“模型”分级显示项中仅有主效应)。
根据该表下方显示的颜色梯度对“设计诊断”表中的值着色。您可以使用“设计诊断”红色小三角菜单中的选项控制颜色图例。请参见颜色仪表板。
D、G、A 和 I 效率中每个效率的相对效率都显示在“设计诊断”报表中。通过计算每个设计的效率值再取合适的比率可以得到这些值。相对效率测度的说明在相对效率测度中提供。
“额外试验规模”是参考设计中的试验次数减去比较设计中的试验次数的结果。若参考设计的试验数多于比较设计,则“额外试验规模”会告知您需要额外执行多少次试验才能实现参考设计的效率。
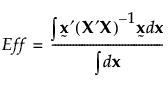
• X 是模型矩阵
• p 是模型中的项数(包括截距)
•
是点
处的相对预测方差。请参见相对预测方差。
参考设计 (Ref) 与比较设计 (Comp) 的相对效率通过以下表达式得到:
D 效率
EffRef / EffComp,其中,每个设计的 Eff 计算如下:

G 效率
EffComp / EffRef,其中,每个设计的 Eff 计算如下:

在此,D 表示设计区域。
注意:使用设计空间的 Monte Carlo 抽样计算 G 效率。报告的值基于
或 Monte Carlo 抽样中的预测方差中的较大者。因此,同一设计的再次计算可能略有不同。
A 效率
EffComp / EffRef,其中,每个设计的 Eff 计算如下:

I 效率
EffComp / EffRef,其中,每个设计的 Eff 计算如下:

有关计算的详细信息,请参见 Goos and Jones (2011) 中的第 4.3.5 节。