拟合统计量“拟合统计量”报表提供用于模型比较的统计量。对于所有拟合统计量,值越小越好。若一个模型包含在另一模型中,两个模型之间可以执行似然比检验。若不是包含关系,谨慎比较似然可以提供有用的信息。相关示例,请参见拟合空间结构模型。
“拟合统计量”报表的说明 使用以下符号:
• 按以下方式给出混合模型:

其中 y 是观测值的 nx1 向量,β 是固定效应参数的向量,γ 是随机效应参数的向量,ε 是误差的向量。
• 假定 γ 和 ε 具有多元正态分布,其中

且

• 在这些假设下,按以下方式给出 y 的方差:

-2 残差对数似然
最终求值为负残差对数似然的两倍,即目标函数。

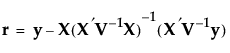
其中

p 是 X 的秩。仅在比较固定效应部分相同的模型时使用残差似然。请参见似然、AICc 和 BIC。
-2 对数似然
求值为负对数似然函数的两倍。请参见似然、AICc 和 BIC。
将对数似然用于比较固定、随机和重复效应不同的模型。
AICc
校正 Akaike 信息准则。请参见似然、AICc 和 BIC。
BIC
Bayesian 信息准则。请参见似然、AICc 和 BIC。
收敛得分检验若模型收敛有问题,将在拟合统计量下显示一条警告消息。Figure 8.11显示该警告,指出收敛问题的原因和可能的解决方法。它还包括最终迭代的相对梯度检验。若该检验不显著,则模型可能是正确的但是未完全满足收敛准则。在这种情况下,需慎用模型和结果。请参见收敛得分检验。
图 8.11 收敛得分检验