“得分汇总”报表提供判别得分的概况。Figure 5.12 中的表显示实际分类和预测分类。若所有观测均正确分类,则非对角计数为零。
图 5.12 Iris.jmp 的“得分汇总”
“得分汇总”报表提供以下信息:
列
若您使用了“逐步选择变量”构造模型,则列出进入模型的列(Figure 5.6)。
源
若未使用验证,则所有观测构成训练集。若使用了验证,则分别显示一行表示训练集和验证集,或分别显示一行表示训练集、验证集和测试集。
误分类数
提供指定的集中被错误分类的观测数。
误分类的百分比
提供指定的集中被错误分类的观测百分比。
熵 R 方
一个拟合测度。值越大表示拟合效果越好。“熵 R 方”的值为 1 表示分类预测完美。由于判别模型的预测概率的不确定性很典型,因此“熵 R 方”值往往很小。
请参见熵 R 方。
注意:“熵 R 方”可能为负值。
-2对数似然
训练集中观测的负对数似然的两倍(基于模型)。值越大表示拟合效果越好。仅对训练集提供。请参见《拟合线性模型》。
混杂矩阵
显示分类变量 X 的每个水平的“预测计数-实际分类”矩阵。若使用的是带验证功能的 JMP Pro,将为每组观测提供一个矩阵。若您在 JMP 中使用了排除行,则将排除行视为验证集且给出单独的验证矩阵。请参见JMP 和 JMP Pro 中的验证。
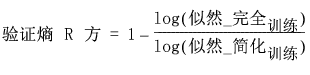
“熵 R 方”是一个拟合测度。为训练集计算该值,若使用了验证,则为验证集和测试集计算该值。
对于训练集,按以下方式计算“熵 R 方”:
• 使用训练集拟合判别模型。
• 获取基于模型的预测概率。
• 使用这些预测概率,为训练集中的观测计算似然值。称之为似然_完全训练。
• 使用训练集拟合简化模型(无预测变量)。
• 使用简化模型中 X 变量的各水平的预测概率计算训练集中观测的似然值。将该量称为似然_简化训练。
• 训练集的“熵 R 方”为:

对于验证集,按以下方式计算“熵 R 方”:
• 仅使用训练集拟合判别模型。
• 为所有观测获取基于训练集模型的预测概率。
• 使用这些预测概率,为验证集中的观测计算似然值。称之为似然_完全验证。
• 仅使用训练集拟合简化模型(无预测变量)。
• 使用简化模型中 X 变量的各水平的预测概率计算验证集中观测的似然值。将该量称为似然_简化验证。
• “验证熵 R 方”为:

测试集的“熵 R 方”计算方式与验证集的“熵 R 方”计算方式相似。