“设计诊断”分级显示项显示 D、G 和 A 效率以及预测的平均方差。若设计包含设置为“困难”或“极难”更改的因子或包含“可估计性”指定为“若可能”的效应,则不显示这些诊断。
若是从“实验设计”平台访问“设计诊断”,而不是从“评估设计”访问“设计诊断”,则“设计创建时间”会给出创建设计所需的时间。从“评估设计”平台访问“设计诊断”时,“设计创建时间”给出“评估设计”平台计算结果所需的时间。
图 15.25 显示 Design Experiment 文件夹下 Bounce Data.jmp 样本数据表的“设计诊断”分级显示项。
图 15.25 “设计诊断”分级显示项
警告:效率测度不应由自身来解释。但是可以使用它们来比较设计。对于给定的两个设计,效率测度值更高的设计好一些。尽管任何准则的最高效率均为 100,但是 100% 的效率对于很多设计问题来说是不可能实现的。
下文给出的效率测度说明中使用以下符号:
• X 是模型矩阵
• n 是设计中的试验次数
• p 是模型中的项数(包括截距)
•
是点
处的相对预测方差。请参见相对预测方差。
•
是设计区域上的最大相对预测方差
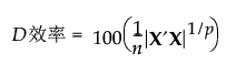
根据 D 最优性准则,设计相对理想正交设计的效率。若设计使回归系数的向量的联合置信区域最小,则设计是 D 最优的:

根据 G 最优性准则,设计相对理想正交设计的效率。若设计使设计区域上的最大预测方差最小,则设计是 G 最优的:

用 D 表示设计区域,

注意:使用设计空间的 Monte Carlo 抽样计算 G 效率。因此,同一设计的再次计算可能略有不同。
根据 A 最优性准则,设计相对理想正交设计的效率。若设计使回归系数的方差之和最小,则设计是 A 最优的:

在设计空间中的点
处,按以下方式定义相对预测方差:

这是预测方差除以误差方差得到的值。有关计算的详细信息,请参见 Goos and Jones (2011) 中的第 4.3.5 节。
注意:若设计区域受到线性约束或不被允许的组合的约束,则预测的平均方差将根据“设计空间比例”图中的预测方差值计算得出。
“设计创建时间”给出“评估设计”平台计算结果所需的时间。