注意:“多元”报表中的相关性值和 p 值使用“首选项”中的条件格式设置来设置格式。请参见《使用 JMP》中的在报表中使用条件格式。
“多元”红色小三角菜单包含以下选项:
多元相关性
显示或隐藏“相关性”表。该表是一个相关系数矩阵,该矩阵汇总了每对响应 (Y) 变量之间的线性关系的强度。默认启用该选项。请参见Pearson 乘积矩相关系数。
注意:该相关性矩阵使用您在启动窗口中选择的方法来计算。
相关性概率
显示或隐藏“相关性概率”表。该表是一个 p 值矩阵。每个 p 值都对应变量之间的真实相关性为 0 这一原假设下的检验。这是针对两个响应变量之间不存在线性关系的检验。
相关性置信区间
显示或隐藏相关性的双侧置信区间。
提示:默认置信系数为 95%。使用设置 α 水平选项可更改置信系数。
逆相关性
显示或隐藏“逆相关性”报表,该报表是逆相关性矩阵。矩阵的对角线元素是一个函数,它表示为一个变量在多大程度上接近由其他变量构成的线性函数。在逆相关性表中,对角线为 1/(1 – R2) 的值。R2 从对其他所有变量回归该变量的简单线性模型计算得出。若多重相关性为 0,则对角线逆元素为 1。若多重相关性为 1,则逆元素变为无穷大,所以报告为缺失。有关逆相关性的统计详细信息,请参见逆相关性矩阵。
偏相关性
显示或隐藏“偏相关性”报表,该报表是偏相关性矩阵。偏相关性矩阵显示了考虑其他所有变量的效应进行调整之后,两个变量之间关系的测度。该表是按照单位对角线统一尺度的负的逆相关性矩阵。这意味着矩阵经过统一尺度,以使对角线元素等于 1。
偏相关性概率
显示或隐藏“偏相关性概率”报表,该报表是 p 值的矩阵。每个 p 值都对应变量之间的真正偏相关性为 0 这一原假设下的检验。这是在对其他变量的效应进行调整之后,针对两个响应变量之间不存在线性关系的检验。
注意:在没有足够的自由度时,“偏相关性概率”选项不可用。当变量数多于观测数时就可能出现这种情况。
协方差矩阵
显示或隐藏协方差矩阵,该矩阵测量的是一对变量同时改变的程度。
配对相关性
显示或隐藏“配对相关性”表,该表列出每对 Y 变量的 Pearson 乘积矩相关性。相关性通过配对删除方法计算。若任何变量对中的任一个变量含有缺失值,计数值将有所不同。“配对相关性”报表还显示显著性概率并在条形图中比较相关性。所有结果都基于配对方法。
注意:一旦所考虑的两个变量中任意一个变量存在缺失值,该选项会排除相应的行。
Hotelling T2 检验
支持您针对作为 Y 输入的变量执行多元分布的单样本均值检验。在选择“Hotelling T2 检验”选项后,会出现一个窗口,该窗口支持您指定原假设下的均值向量。输入每个变量的假设均值。该检验假定 Y 变量服从多元正态分布。“Hotelling T2 检验”报表提供以下信息:
变量
作为 Y 输入的变量。
均值
每个变量的样本均值。
假设均值
您指定的原假设均值。
检验统计量
Hotelling T2 统计量的值。
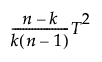
F 比
检验统计量的值。若您有 n 行和 k 个变量,则 F 比的计算公式定义如下:

概率 > F
检验的 p 值。在原假设下,F 比服从自由度为 k 和 n - k 的 F 分布。
注意:要删除报表,请点击 T2 检验旁边的红色小三角并选择删除检验。
简单统计量
该菜单包含两个选项,每个选项都可以显示或隐藏每列的简单统计量(均值、标准差、总和、最小值和最大值)。若含有缺失值或使用了“稳健”方法,一元和多元简单统计量会有所不同。
一元简单统计量
显示对每列计算的统计量,而不考虑其他列中的值或缺失值。这些值与“分布”平台生成的那些值相同。
多元简单统计量
显示与在启动窗口中选定的估计方法对应的统计量,以及是否存在缺失数据。若没有缺失观测,该选项仅可用于稳健方法。若有缺失观测,该选项可用于配对之外的所有估计方法。“REML”、“ML”或“稳健”方法,选定的方法估计均值向量和协方差矩阵。对于“逐行”方法,则从均值和方差的计算中排除至少包含一个缺失值的所有行。
非参数相关性
该菜单包含三个非参数测度:Spearman Rho、Kendall Tau 和 Hoeffding D。每个选项显示或隐藏相应测度的非参数报表。请参见非参数相关性。
设置 α 水平
您可以为相关性置信区间指定任意 alpha 值。共列出四个 alpha 值:0.01、0.05、0.10 和 0.50。选择其他可输入任何其他值。
散点图矩阵
显示或隐藏每对响应变量的散点图矩阵。默认启用该选项。请参见散点图矩阵。
色图
“色图”菜单包含三种色图。该菜单中的每个选项显示或隐藏相应类型的色图。提供以下类型的色图:
相关性色图
生成一个方格图,该图采用由红 (+1) 到蓝 (-1) 的尺度显示变量之间的相关性。
p 值色图
生成一个方格图,该图采用由 p = 0(红)到 p = 1(蓝)的尺度显示相关性的显著性。
对相关性进行聚类
生成一个方格图,该图将相似变量聚类在一起。该相关性与“相关性色图”的相关性相同,但变量的位置可能有所不同。
配对相关性色图
生成一个方格图,该图采用由红 (+1) 到蓝 (-1) 的尺度显示变量之间的配对相关性。
Spearman ρ 色图
生成一个方格图,该图采用由红 (+1) 到蓝 (-1) 的尺度显示变量之间的 Spearman ρ 非参数相关性。
Kendall τ 色图
生成一个方格图,该图采用由红 (+1) 到蓝 (-1) 的尺度显示变量之间的 Kendall τ 非参数相关性。
Hoeffding D 色图
生成一个方格图,该图采用由红 (+1) 到蓝 (-1) 的尺度显示变量之间的 Hoeffding D 非参数相关性。
平行坐标图
显示或隐藏变量的平行坐标图。
三维椭圆图
显示或隐藏带 95% 置信椭圆的三维散点图。选择该选项时,系统会提示您指定三个变量及其相应轴。
主成分
该菜单包含用于显示或隐藏主成分报表的选项。可以基于相关性、协方差或未统一尺度的值选择主成分报表。在已经显示某个主成分报表时选择其中一个选项可将该报表改为新选项。选择无可删除该报表。
主成分是对原始变量计算线性组合的一种方法。第一主成分具有最大变异,第二主成分具有第二大的变异(第二主成分必须与第一主成分正交),依此类推。请参见主成分。
离群值分析
该菜单包含的每个选项均用于显示或隐藏特定图,这些图使用以下方法之一测量多元意义上的距离:Mahalanobis 距离、Jackknife 距离和 T2 统计量。请参见离群值分析。
项目信度
该菜单包含的每个选项都显示或隐藏一个项目信度报表。这些报表使用 Cronbach α 值或标准化 α 指示一组工具在测量总响应上的一致性程度。请参见项目信度。
补缺缺失数据
(仅当数据表包含缺失值时才可用。)生成一个新数据表,它复制您的数据表并用估计值替换所有缺失值。请参见补缺缺失数据。
保存插补公式
(仅当数据表包含缺失值时才可用。)对于包含缺失值的列,将包含用于估计缺失值的公式的新列保存到数据表中。新列称为补缺_<列名>。
请参见《使用 JMP》中的报表中的“本地数据过滤器”、报表中的“重新运行”菜单和报表中的“保存脚本”菜单获取有关下列选项的信息:
本地数据过滤器
显示或隐藏支持您过滤特定报表中使用的数据的本地数据过滤器。
重新运行
包含使您可以重复或重新启动分析的选项。在支持该功能的平台中,“自动重新计算”选项立即在相应报表窗口中反映您对数据表所做的更改。
保存脚本
包含的选项支持您保存可将报表重现到若干目标的脚本。
保存“依据”组脚本
包含使您可以保存脚本的选项,可将为“依据”变量的所有水平重新生成平台报表的脚本保存到多个不同的位置。仅当在启动窗口中指定“依据”变量时才可用。