与功效计算有关的选项仅适用于连续响应模型。以下内容是可用的功效和相关检验详细信息:
要获取每个参数估计值的回顾检验详细信息,请从报表的红色小三角菜单中选择估计值 > 参数功效。该选项基于当前研究数据,为每个参数显示 0.05 显著性水平检验的最小显著值、最小显著数和调整功效。
要获取特定效应的 F 检验的前瞻或回顾详细信息,请从效应的红色小三角菜单中选择功效分析。谨记:对于“效应筛选”和“最小报表”特质,每个效应的报表位于“效应详细信息”下方。对于“效应杠杆率”特质,效应的报表位于报表中第一列(整体模型)右侧。
要获取一个或多个对比的检验的前瞻或回顾详细信息,请从效应的红色小三角菜单中选择最小二乘均值对比。定义所关注的对比并点击“完成”。从“对比”红色小三角菜单中,选择功效分析。
要获取定制检验的前瞻或回顾详细信息,请从响应的红色小三角菜单中选择估计值 > 定制检验。定义所关注的对比并点击完成。从“定制检验”红色小三角菜单中,选择功效分析。
在除第一种情况外的所有情况中,选择“功效分析”都可以打开“功效详细信息”窗口。随后您可以在“功效详细信息”窗口中输入信息,根据您的需要修改计算。
效应大小(表示为 δ)是表示原假设与涉及参数的真实值之间差值的测度。可根据设置为等于 0 的单个线性对比或根据具有该设置的若干对比来用公式表示原假设。δ 的值反映对比的实际值与其假设值 0 之间的差值。
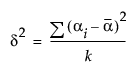
概括来说,效应大小通过以下公式得出:

其中,
是按照总体参数指定的所检验假设的平方和,n 是观测总数。
若提供了观测数,则将针对假设计算的平方和代入 δ 的公式来计算估计的效应大小。
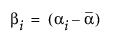
例如,对于包含 k 个水平的平衡单因子布局的特例,其中第 i 个组具有响应均值 αi,

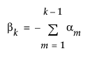
回想一下 JMP 对参数编码,因此,对于 i =1, 2,..., k-1

且

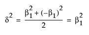
所以,按照这些参数,两水平平衡布局的 δ 通过以下公式得出:

或者 
对于包含 k 个水平的不平衡单因子布局的情况,其中第 i 个组具有响应均值 αi 和 ni 个观测,且
:

功效就是当真实效应大小是一个指定值时某个假设的 F 检验在 α 显著性水平下显著的概率。若真实效应大小等于 δ,则检验统计量服从非中心参数为以下值的非中心 F 分布

若原假设成立(即:效应大小为 0),则非中心参数为 0 且检验统计量服从 F 分布。
检验的功效随 λ 增大。特别是功效随着样本大小 n 和效应大小 δ, 增大,并随着误差方差 σ2 减小。
某些书目(例如,Cohen (1977))使用标准化效应大小 Δ = δ/σ, 而不是 JMP 所用的原始效应大小。对于标准化效应大小,非中心参数等于 λ = nΔ2。
在“功效详细信息”窗口中,δ 最初设置为
。SSHyp 是假设的平方和,n 是当前研究中的观测数。SSHyp 是基于数据计算的 δ 的估计值,但这种估计值是有偏的 (Wright and O’Brien 1988)。要使用 δ 的样本估计值计算功效,您可能需要使用“调整功效和置信区间”计算而不是“功效求解”计算。调整功效计算使用 δ 的估计值,该值已对偏倚进行了部分校正。请参见调整功效的计算。
要查看样本大小-功效图,请从“功效”报表底部的红色小三角菜单中选择“功效图”选项。JMP 标绘“功效”表中的“功效”和“数目”列。图 3.68 所示的图是通过标绘回顾功效分析的示例中获取的“功效”表得到的。
图 3.68 样本大小-功效图
最小显著数 (LSN) 是在指定了 delta、sigma 和 alpha 值的前提下,得到显著检验结果的最小观测数。回想一下,delta、sigma 和 alpha 分别代表效应大小、误差标准差和显著性水平。
注意:LSN 不适于推荐样本大小,因为它未考虑到显著性概率。其计算基于 delta 和 sigma 的指定值。
LSN 具有以下特征:
• 若 LSN 小于实际样本大小 n,则效应显著。
• 若 LSN 大于 n,则效应不显著。若您相信更多数据实际上会显示与当前样本相同的结构化结果,则 LSN 可建议实现显著性所需的数据量。
• 若 LSN 等于 n,则 p 值等于显著性水平 alpha。检验落在显著的分界线上。
• 当 n = LSN 时计算的效应大小的检验功效始终大于等于 0.5。但请注意,该功效可能接近 0.5,该值被视为较低,无法满足计划目的。
针对单个自由度的假设检验计算 LSV 或最小显著值。这些检验包括针对各个模型参数的显著性检验,以及更一般化的线性对比。LSV 是在水平 alpha 下显著的绝对值最小的效应大小。LSV 在参数尺度而不是概率尺度上提供了关于检验灵敏度的测度。
LSV 具有以下特征:
• 若参数估计值或对比的绝对值大于等于 LSV,则显著性检验的 p 值小于等于 alpha。
• 当且仅当其显著性检验的 p 值等于 alpha 时,参数估计值或对比的绝对值才等于 LSV。
• LSV 是参数或参数线性组合的 1 – α 置信区间的半径。1 – α 置信区间以参数或对比的估计值为中心。
检验的功效是该检验给出显著结果的概率。功效是效应大小 δ, 显著性水平 α、误差标准差 σ 和样本大小 n 的函数。功效是您在给定的显著性水平下检测出指定效应大小的概率。通常,您想要让设计的研究具有高功效,以检测出具有实际意义或科学意义的差值。
功效具有以下特征:
• 若参数真实值实际上就是假设值,则功效等于检验的显著性水平。显著性水平通常是一个较小的值,比如 0.05。较小的值之所以合理是因为您希望当假设成立时有较低的概率看到显著结果。
• 若参数真实值不是假设值,通常情况下,您希望功效越大越好。
• 功效随着以下值变化而增大:样本大小增大、误差方差减小、真实参数值与假设值之间的差值增大。
在回顾功效分析中,您通常将样本估计值替换为功效计算中涉及的总体参数。该替换导致非中心参数估计值具有正偏倚 (Wright and O’Brien 1988)。调整功效计算基于估计的非中心参数的形式,该参数已针对偏倚进行部分校正。
您还可以为调整功效构造置信区间。这种置信区间往往较宽。请参见 Wright and O’Brien (1988)。
请注意,调整功效和置信区间计算仅对从数据中估计的 δ 的值(默认提供的值)有意义。对于其他 delta 值,不提供调整功效和置信区间。
请参见调整功效的计算。
本例使用 Big Class.jmp 样本数据表演示了回顾功效分析。“功效详细信息”窗口(图 3.69)允许在 α、σ、δ 和“数目”或研究大小的范围内探索各种量。点击“完成”,该窗口将替换为计算结果。
1. 选择帮助 > 样本数据库,然后打开 Big Class.jmp。
2. 选择分析 > 拟合模型。
3. 选择体重并点击 Y。
4. 添加年龄、性别和身高作为效应。
5. 点击运行。
6. 点击“年龄”红色小三角并选择功效分析。
图 3.69 “年龄”的“功效详细信息”窗口
7. 将初值框中的 δ 值替换为 3,在终值框和增量框中分别输入 6 和 1,如图 3.69 所示。
8. 将初值框中的数目值替换为 20,在终值框和增量框中分别输入 60 和 10,如图 3.69 所示。
9. 选择功效求解和最小显著数求解。
10. 点击完成。
11. “功效详细信息”报表取代“功效详细信息”窗口。
图 3.70 “年龄”的“功效详细信息”报表
该分析是回顾功效分析,因为计算中假设研究具有与 Big Class.jmp 样本数据表相同的结构。例如,本例中的功效计算依赖于模型中输入的效应以及每个年龄和性别分组中的参与者数。此外,σ 的值从当前研究中获得,尽管您可以用代表将来研究的值替换该值。
有关图 3.70 中显示的功效结果的详细信息,请参见功效。有关最小显著数 (LSN) 的详细信息,请参见最小显著数 (LSN)。
前瞻分析帮助您回答这样的问题:“若存在指定大小的差异,我是否能在建议的样本大小、alpha 水平和误差方差估计值的条件下检测到这些差异?”在前瞻功效分析中,您必须在数据表中提供组均值的估计值和样本大小。您还必须在“功效详细信息”窗口中提供误差标准差 σ 的估计值。
考虑您准备比较三个独立组的均值的情形。要获取可实现给定功效的样本大小,请选择实验设计 > 样本大小与功效,然后选择 k 个样本均值。在“标准差”旁边,输入您的误差标准差估计值。在“前瞻均值”列表中,输入反映您想要检测的最小差值的均值。举例来说,若您想要检测任意两个均值之间 8 个单位的差值,请输入均值的极值(比如 40、40 和 48)。由于功效基于总均值的偏差,您可以仅输入反映所需差值的值(比如 0、0 和 8)。
若点击继续,即可获取样本大小-功效图。若在“样本大小”窗口中指定功效或样本大小,则计算其他量并显示在“样本大小”窗口中。特别是,若您指定功效,提供的样本大小是所需的总样本大小。k 个样本均值计算假定使用相等组大小。对于三个组,您需要将样本大小除以 3 以获取各个组大小。有关 k 个样本均值的详细信息,请参见《实验设计指南》中的“k 个样本均值”计算器。
假定您想要设计一个使用大小不等的组的研究。您需要计划一个实验,研究据报道可减少细菌计数的两种治疗方案。您想要将这些治疗方案的效果与未接受任何治疗的控制组的结果进行比较。还想要检测两个治疗组中任一个组的均值与控制组均值之间至少 8 个单位的差值。但是控制组必须是任一个治疗组的两倍大。两个治疗组的大小还必须相等。之前的研究表明误差标准差大约为 5 或 6。
要获取该情形的前瞻功效分析,请创建包含一些基本信息的数据表,如 Bacteria.jmp 样本数据表所示。
图 3.71 Bacteria.jmp 数据表
• 组列标识这些组。
• 均值列反映有必要检测的列间最小差值。在此,假定控制组的均值大约为 40。您希望在任一治疗组的均值至少比控制组均值高出 8 个单位时,检验是显著的。出于此原因,您为两个治疗组中的一个组分配了均值 48,将另一个治疗组的均值设置为等于控制组均值。(或者,您可以为控制组和其中一个治疗组分配均值 0,为剩下的治疗组分配均值 8。)请注意,组均值之间的差值是总体值。
• 相对大小列显示所需的治疗组相对大小。该列指示控制组需为每个治疗组的两倍大。(或者,您可以根据相对大小准则,为治疗组最初猜想一个大小。)
注意:必须为相对大小列分配“频数”角色。请查看列面板中列名右侧的符号。
下一步,使用“拟合模型”拟合单因子方差分析模型(图 3.72)。请注意,相对大小在启动窗口中声明为频数。此外,选定“最小报表”重点选项。
图 3.72 细菌研究的“拟合模型”启动窗口
点击运行获取“拟合最小二乘法”报表。该报表显示“均方根误差”和“误差平方和”为 0.0,因为您指定的数据表在各组内没有误差变异。您必须为误差变异输入建议的值范围才能获取功效分析。具体而言,您了解到误差变异大约为 5,但可能大到 6。
1. 点击“效应详细信息”旁边的展开图标,打开该报表。
2. 点击“组”红色小三角并选择功效分析。
3. 要探索科研人员怀疑的误差变异范围,在 σ 下的第一个框中输入 5,在第二个框中输入 6(图 3.73)。
4. 请注意,δ 输入为 3.464102。这是与组均值中的指定差值对应的效应大小。该数据表包含三个隐藏列,用来演示效应大小计算。(请参见不平衡单因子布局。)
5. 要探索一定范围内的研究大小的功效,请在数目下的第一个框中输入 16,在第二个框中输入 64,在第三个框中输入增量 4(图 3.73)。
6. 选择功效求解。
7. 点击完成。
图 3.73 细菌研究的“功效详细信息”窗口
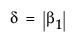
图 3.74 所示的“功效详细信息”报表取代“功效详细信息”窗口。该报表针对 α = 0.05,σ = 5 和 6 的所有组合,以及以 4 为增量从 16 到 64 的样本大小提供功效计算。σ 为 5 时,要获取大约 90% 的功效,您需要总样本大小大约为 32。您需要控制组中有 16 个参与者,每个治疗组中有 8 个参与者。另一方面,若 σ 为 6,则总共需要 44 个参与者。
图 3.74 细菌研究的“功效详细信息”报表
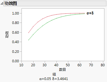
点击“功效详细信息”报表中表底部的箭头,获取针对 σ 的两个值的样本大小-功效图,如图 3.75 所示。 在此,红色标记对应于 σ = 5,绿色标记对应于 σ = 6。
图 3.75 细菌研究的“功效图”