考虑未分子组的测量值,即自然子组大小为 n = 1 的情况。用 m 表示观测数,用 p 表示测量的变量数。为每个观测计算 T2 统计量并标绘它。T2 统计量和上控制限 (UCL) 的计算取决于目标统计量的来源。在“阶段 I”图中,限值基于在控制图上标绘的同一数据。在“阶段 II”图中,限值基于从历史数据集计算得出的目标统计量。有关 T2 统计量和 Hotelling T2 控制图的控制限计算的详细信息,请参见 Montgomery (2013)。
在“阶段 I”控制图中,按以下方式定义第 i 个观测的 T2 统计量:

其中:
Yi 是第 i 个观测的 p 个测量值的列向量
是 p 个变量的样本均值的列向量
S-1 是样本协方差矩阵的逆矩阵
i 个观测中每个观测的 Ti2 值都是在多元控制图上标绘的点。
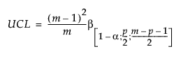
计算“阶段 I”控制限时,上控制限基于 beta 分布。具体而言,按以下方式定义上控制限 (UCL):

其中:
p = 变量数
m = 观测数
= Beta
分布的第 (1–α) 分位数
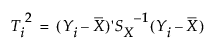
在“阶段 II”控制图中,将历史数据集定义为 X。然后按以下方式定义第 i 个观测的 T2 统计量:

其中:
Yi 是第 i 个观测的 p 个测量值的列向量
是 p 个变量的样本均值的列向量,从历史数据集计算
SX-1 是样本协方差矩阵的逆矩阵,从历史数据集计算
i 个观测中每个观测的 Ti2 值都是在多元控制图上标绘的点。
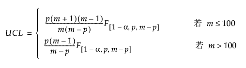
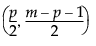
计算“阶段 II”控制限时,新观测独立于历史数据集。在这种情况下,上控制限 (UCL) 是 F 分布的函数,部分依赖于从中计算目标的历史数据集中的观测数。按以下方式定义上控制限:

其中:
p = 变量数
m = 历史数据集中的观测数
F
分布的 = (1–α) 分位数