发布日期: 09/18/2023

散点图

解释变量与寿命事件的散点图显示在“以 X 拟合寿命”报表的顶部。表 4.2 指示如何在散点图中表示每种失效类型。要增大图上标记的大小,右击该图,先选择标记大小,再选择所列的一个标记大小。

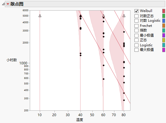
图 4.5 “温度 - 小时数”散点图 

Scatterplot of Hours versus Temp

表 4.2 失效和删失观测的散点图表示

事件

散点图表示

失效

右删失

向上的三角

左删失

向下的三角

区间删失

向下的三角落在向上的三角之上,二者通过一条实线连接

散点图选项

“散点图”红色小三角菜单包含以下选项:

添加密度曲线

通过在加速因子范围内输入任意值,指定您所需的密度曲线,一次指定一条曲线。您随后可以通过选中在添加曲线后出现的相应复选框来选择不同的分布。

删除多条密度曲线

显示之前指定的密度曲线值的列表。通过选中各个复选框删除对应的曲线。

显示多条密度曲线

显示或隐藏散点图中的密度曲线。

若指定连续 X 变量和连续“关系”,则将在 X 变量水平、使用条件值和“添加密度曲线”选项指定的任何值处显示密度曲线。

若您指定任何类型的非连续关系,则会为所有给定的解释变量水平显示密度曲线。若您指定“位置”或“位置和尺度关系”,在启动窗口中选定“嵌套模型检验”选项,或者指定了名义型 X 变量,则会显示非连续关系。

添加多条分位数线

指定所需的分位数线,一次指定三条。您可以通过连续选择添加多条分位数线添加更多分位数。默认分位数值为 0.1、0.5 和 0.9。无效的分位数值(如缺失值)将被忽略。您可以按需仅输入一个分位数值,将其他条目留空。

显示分位数线置信区间带

显示或隐藏分位数线周围的置信区间。

设置分位数线置信区间带的水平

指定分位数线周围置信区间的置信水平。

删除多条分位数线

显示之前指定的分位数值的列表。通过选中适当的复选框来删除分位数线。

转置坐标轴

交换水平轴和垂直轴。

使用变换尺度

散点图的默认视图包含变换尺度。选择该选项可在水平轴的线性尺度和非线性尺度之间切换。

图 4.5 显示了初始散点图;图 4.6 显示了选定显示密度曲线添加多条分位数线选项后生成的散点图,其中显示了 Weibull 分布的各种温度水平下的曲线和分位数线。您还可以查看其他分布所有温度水平下的密度曲线。可以一次选定一个分布,也可以通过选中所需分布名称左侧的框来同时查看这些分布。

图 4.6 选定了密度曲线和分位数线选项的散点图 

Scatterplot with Density Curve and Quantile Line Options

需要更多信息?有问题?从 JMP 用户社区得到解答 (community.jmp.com).