可靠性和生存方法 > 以 X 拟合寿命
发布日期: 09/18/2023

以 X 拟合寿命

拟合事件时间数据的单因子模型

“以 X 拟合寿命”平台支持您分析仅有一个因子情况下的寿命事件。您可以选择使用各种变换对事件与因子之间的关系建模,或是创建自定义数据变换。您还可以灵活地比较同一因子水平下的不同分布,以及在不同因子水平之间比较同一分布。

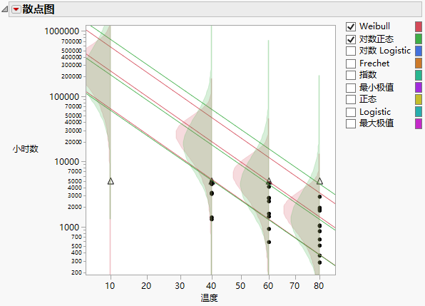
图 4.1 显示不同分布和因子水平的散点图 

Scatterplot Showing Varying Distributions and Factor Levels

目录

“以 X 拟合寿命”平台概述

“以 X 拟合寿命”平台的示例

启动“以 X 拟合寿命”平台

“以 X 拟合寿命”报表

数据汇总
散点图
非参数叠加
比较
结果
定制关系

“以 X 拟合寿命”平台选项

“以 X 拟合寿命”平台的更多示例

需要更多信息?有问题?从 JMP 用户社区得到解答 (community.jmp.com).