使用“单样本比例的误差幅度”可确定置信区间的样本大小。选择实验设计 > 样本大小分析器 > 置信区间 > 单样本比例的误差幅度。探索在假定比例、样本大小、显著性和区间的误差幅度之间如何权衡。计算使用得分置信区间。得分置信区间不对称。
警告:若您的目标是控制研究的规模以达到特定的置信下限或置信上限,请务必谨慎。误差幅度是该区间宽度的一半。得分置信区间不对称。假设的比例 0.5 加减误差幅度分别对应于置信区间的下限和上限。随着假定比例远离 0.5,假定比例加减误差幅度会与置信区间的下限和上限有所不同。
使用单选按钮、文本框和菜单设置研究假设并探索样本大小。对设置进行更改时,刻画器随之更新。或者,通过拖动刻画器曲线上的十字准线来更改设置。
区间类型
单侧
指定单侧区间(上限或下限)
双侧
指定双侧区间。
初步信息
Alpha
指定置信水平,1 - alpha。对于 95% 置信区间,默认 alpha 水平为 0.05。
该刻画器支持您直观演示样本大小假设对于误差幅度计算的影响。
对下列对象求解:
支持您求解样本大小或假定的比例。
误差幅度
指定区间的半宽。在其他所有参数保持不变时,误差幅度随着样本大小的增加而减小。
注意:得分置信区间并非关于点估计值对称。因此,误差幅度在点估计值的任一侧都不等。
样本大小
指定构造区间所需的总观测数(试验、实验单元或样本)。
比例
指定区间的假定比例。
“分析器”红色小三角菜单和报表按钮提供更多选项:
模拟数据
打开基于分析器设置的模拟数据的数据表。查看所用设置的模拟响应列公式。
制成数据收集表
创建可用于数据收集的新数据表。该表包含有助于数据分析的脚本。
保存设置
将当前设置保存至“已保存设置”表。这样您就可以保存一套备选研究计划。请参见样本大小分析器中的已保存设置。
重置为默认值
将所有参数和图形重置为其默认设置。
帮助
打开 JMP 联机帮助。
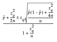
用于捕获总体比例的区间计算是基于得分置信区间。请参见 Agresti and Coull (1998)。双侧得分置信区间的公式如下:

其中,zq 是标准正态分布的第 q 分位数。对双侧区间使用 q = 1 - a/2,对单侧区间使用 q = 1 - a。
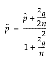
请注意,得分区间不是关于比例的估计值对称,而是关于

的加权平均值和 0.5 对称。