使用“双独立样本比例的误差幅度分析器”可确定两个比例的差值、对数相对风险或对数优势的置信区间的样本大小。选择实验设计 > 样本大小分析器 > 置信区间 > 两个独立样本比例的误差幅度。探索在变异性假设、样本大小、显著性和区间的误差幅度之间如何权衡。
使用单选按钮、文本框和菜单设置研究假设并探索样本大小。对设置进行更改时,刻画器随之更新。或者,通过拖动刻画器曲线上的十字准线来更改设置。
区间类型
单侧
指定单侧区间(上限或下限)
双侧
指定双侧区间。
区间用途
比例差值
指定两个比例差值 (p1 - p2) 的置信区间。
对数相对风险
指定使用对数尺度的相对风险的置信区间 (p1/p2)。
对数优势比
指定使用对数尺度的优势比的置信区间 (p1/(1-p1))/(p2/(1-p2))。
初步信息
Alpha
指定置信水平,1 - alpha。对于 95% 置信区间,默认 alpha 水平为 0.05。
该刻画器支持您直观演示样本大小假设对于误差幅度计算的影响。
总样本大小
指定您实验中需要的总观测数(试验、实验单元或样本)。误差幅度曲线基于总样本大小。选择“锁定”以锁定总样本大小。
对下列对象求解:
支持您求解样本大小或假定比例。
误差幅度
指定双侧区间的半宽或单侧区间的宽度。在其他所有参数保持不变时,误差幅度随着样本大小的增加而减小。
组 1 样本大小
指定您实验中的“组 1”需要的总观测数(试验、实验单元或样本)。
组 2 样本大小
指定您实验中的“组 2”需要的总观测数(试验、实验单元或样本)。
组 1 比例
指定组 1 的假定比例。
组 2 比例
指定组 2 的假定比例。
注意:调整一个组的样本大小也会调整总样本大小,除非总样本大小被锁定。在这种情况下,调整一个组的样本大小也会调整另一个组的样本大小。
“分析器”红色小三角菜单和报表按钮提供更多选项:
模拟数据
打开基于分析器设置的模拟数据的数据表。查看所用设置的模拟响应列公式。
制成数据收集表
创建可用于数据收集的新数据表。该表包含有助于数据分析的脚本。
保存设置
将当前设置保存至“已保存设置”表。这样您就可以保存一套备选研究计划。请参见样本大小分析器中的已保存设置。
重置为默认值
将所有参数和图形重置为其默认设置。
帮助
打开 JMP 联机帮助。
每种区间类型的计算都基于正态近似。
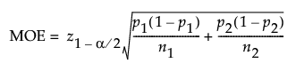
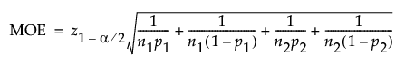
对于有关比例差值的区间,双侧置信区间的误差幅度 (MOE) 计算如下:

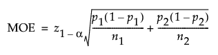
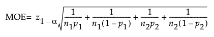
单侧区间的 MOE 计算如下:

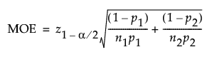
对于相对风险的对数,误差幅度 (MOE) 计算如下:

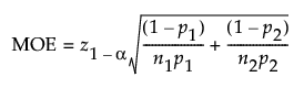
单侧区间的 MOE 计算如下:

对于相对风险的对数,误差幅度计算如下:

单侧区间的 MOE 计算如下:

其中:
a 是显著性水平。
n1 和 n2 是组样本大小
p1 和 p2 是组比例
z1-α 是分布的第 (1 - a) 分位数。