在“拟合最小二乘法”报表中,“特殊报表”部分包含根据数据结构或您针对效应特性所作选择而提供的报表。
当模型效应之间存在线性相依性时,“奇异性详细信息”报表将显示为“响应”报表标题下方的第一个报表。它包含模型项满足的线性函数的表。这些函数定义模型项之间的别名关系。Figure 3.7 显示了 Singularity.jmp 样本数据表的示例。
图 3.7 “奇异性详细信息”报表
若效应间存在线性相依性,则某些模型项的估计值不唯一。请参见模型项之间具有线性相依性的模型。
若模型中的某个效应具有响应曲面 (&RS) 或混料响应曲面(&RS&混料)特性,此时将提供“响应曲面”报表。请参见Figure 3.8,了解有关 Tiretread.jmp 样本数据表的“响应曲面”报表的示例。
图 3.8 “响应曲面”报表
“系数”表显示为“响应曲面”报表的第一个部分,该表提供估计模型参数的简要汇总。前面几列提供二阶项的系数。最后一列提供线性项的系数。要查看完整的预测表达式,请从该报表的红色小三角菜单中选择估计值 > 显示预测表达式。
“解”报表提供了可能存在的临界值(最大值、最小值或鞍点)以及该点处的预测值。若解落在数据范围之外,它还会给出相应提醒。
二阶参数估计值矩阵的特征值和特征向量确定曲率类型。特征向量显示曲面的主方向,包括最大曲率和最小曲率的方向。
特征值在“典型曲率”表的第一行提供。
• 若特征值为负,响应曲面将从最大值向下弯曲。
• 若特征值为正,曲面形状将从最小值向上弯曲。
• 若既有正特征值也有负特征值,该曲面将呈鞍状,在一个方向上向上弯曲,另一个方向上向下弯曲。请参见Figure 3.9,了解使用 Tiretread.jmp 样本数据表的示例。
图 3.9 具有鞍状曲面的曲面刻画器图
特征值下列出的特征向量显示主轴的方向。特征值的绝对值越大,响应曲面在其关联方向上的曲率越大。有时会出现零特征值。该特征值意味着沿着相应特征向量描述的方向,拟合曲面是扁平的。
注意:对于包含 20 个以上因子的响应曲面模型,不显示“响应曲面”报表。不提供错误消息或警报。有关响应曲面设计的详细信息,请参见《实验设计指南》中的“Response Surface Designs”。
当您在“拟合模型”启动窗口中指定随机效应时,将显示“方法”列表。该列表提供两种拟合方法:REML(推荐)和 EMS(传统)。根据您选择的模型和方法,还可能显示其他报表以及“保存列”和“刻画器”选项。
有关 REML 方法报表的详细信息,请参见限制最大似然 (REML) 方法。有关 EMS 方法报表的详细信息,请参见EMS(传统)模型拟合报表。
在“拟合模型”启动窗口中输入“验证”列后,将提供“交叉验证”报表。该报表为验证中使用的每个集提供以下信息:
源
将集标识为“训练”、“验证”或“测试”集。
R 方
给定集中的观测相对于使用训练集得出的模型计算出的 R 方值。对于该训练集,这是常规 R 方值。
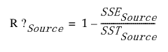
对于每个训练集、验证集和测试集,该 R 方值计算如下:
‒ 对于给定集中的每个观测,计算预测误差。这是实际响应与训练集模型预测的响应之间的差值。
‒ 计算预测误差的平方和以得到 SSE源,其中的下标源表示任意训练集、验证集或测试集。
‒ 对源集中的观测的实际响应与它们的均值的差值求平方和。用 SST源 表示该值。
‒ 源集的 R 方为:

注意:验证集和测试集的 R 方值可能为负值。
RASE
均方预测误差的平方根。对于每个训练集、验证集和测试集,RASE 都计算如下:
‒ 对于给定集中的每个观测,计算预测误差。这是实际响应与训练集模型预测的响应之间的差值。
‒ 计算预测误差的平方和以得到 SSE源,其中的下标源表示任意训练集、验证集或测试集。
‒ 用 n 表示观测数。
‒ RASE 是:

频数
源集中的观测数。