“时间序列”红色小三角菜单包含用于拟合以下模型类型的选项。
ARIMA
显示“指定 ARIMA”窗口,您可以在其中指定要拟合的 ARIMA 模型。ARIMA 模型利用过去值和一系列误差(也称为随机扰动项或新息)的线性组合来预测时间序列的将来值。针对时间序列指定的 ARIMA 模型,ARIMA 模型执行最大似然拟合。请参见ARIMA 模型。
注意:ARIMA 模型通常表示为 ARIMA(p,d,q)。若 p、d 或 q 中的任何项为零,则通常会删除相应的字母。例如,若 p 和 d 为零,则模型只是移动平均模型,用 MA(q) 表示。
图 18.6 “指定 ARIMA”窗口
p,自回归阶数
多项式 j(B) 算子的阶数 p。
d,差分阶数
差分算子的阶数 d。
q,移动平均阶数
差分算子 q(B) 的阶数 q。
预测区间
支持您为预测区间设置介于 0 到 1 的预测水平。
截距
确定截距项 m 是否是模型的一部分。
约束拟合
若选中,拟合过程将约束自回归参数以始终将其限定在稳定区域内,并将移动平均参数限定在可逆区域内。
提示:若拟合器难以找到真正的最优值或您要加快拟合,请取消选择“约束拟合”选项。可以使用“模型汇总”表来查看生成的拟合模型是否稳定和可逆。
一旦指定模型并点击估计,“模型报表”即添加至报表窗口。请参见其他时间序列报表。
季节性 ARIMA
显示“指定季节性 ARIMA”窗口,您可以在其中指定要拟合的季节性 ARIMA 模型。该窗口与“指定 ARIMA”窗口具有相同的元素,但是它还要指定季节性元素。新增的“每周期观测数”选项用于指定每个周期的观测数,用 s 表示。有关季节性 ARIMA 模型的详细信息,请参见季节性 ARIMA 模型。
注意:季节性 ARIMA 模型表示为季节性 ARIMA(p,d,q)(P,D,Q)s。
一旦指定模型并点击估计,“模型报表”即添加至报表窗口。请参见其他时间序列报表。
平滑模型
显示平滑模型的子菜单。您选择一个平滑模型后,将显示规格窗口。请参见“简单平滑平均规格”窗口和“平滑模型”窗口。对于指定的每个模型,在报表窗口中显示“平滑模型报表”。请参见模型报表。平滑模型用模型表示时间序列的变化过程:

其中
mt 是时变均值项
bt 是时变斜率项
s(t) 是 s 时变季节性项中的一项
at 是随机扰动项
有关一般平滑模型等式的详细信息,请参见指数平滑模型的统计详细信息。提供以下平滑模型:
简单移动平均
(在启动窗口中选定“针对保留进行预测”或“使用 Box-Cox 变换”时不可用。)通过使用几个相邻点的平均值(由平滑窗口定义)估计值的模型。使用“简单平滑平均规格”窗口可以对平滑窗口各个参数进行设置。一旦指定平滑窗口选项,就会显示“简单移动平均”报表。默认情况下,该报表生成等于时间窗口中连续观测平均值的标绘值。可以在同一图上添加和显示多个简单移动平均模型。请参见“简单平滑平均规格”窗口。
简单指数平滑
具有水平成分的模型。请参见简单指数平滑。
双指数平滑
具有水平成分和趋势成分的模型。这是线性指数平滑的特殊情况。请参见二次 (Brown) 指数平滑。
线性指数平滑
具有水平成分和趋势成分的模型。请参见线性 (Holt) 指数平滑。
阻尼趋势线性指数平滑
具有水平成分和阻尼趋势成分的模型。该模型适合显示比线性趋势更复杂的趋势的序列。请参见阻尼趋势线性指数平滑。
季节性指数平滑
具有水平成分和季节性成分的模型。请参见季节性指数平滑。
Winters 方法
具有水平成分、趋势成分和季节性成分的模型。请参见Winters 方法(加法)。
注意:除“简单移动平均”模型外,每个平滑模型都是传统的指数平滑模型并且具有等价的 ARIMA 模型。您可能不能使用 ARIMA 选项来指定等价的 ARIMA 模型,因为一些平滑模型从根本上对 ARIMA 模型参数进行了约束,而这些约束方式在 ARIMA 选项下是无法允许的。
状态空间平滑模型
显示“指定状态空间平滑模型”窗口,该窗口支持您拟合 Hyndman et al. (2008) 中定义的多种状态空间平滑模型。(2008)。基于状态空间平滑模型的误差、趋势成分和季节性成分定义状态空间平滑模型。
‒ 误差可以是加法 (A) 或乘法 (M)。
‒ 趋势成分可以为“无 (N)”、“加法 (A)”、“带阻尼的加法 (Ad)”、“乘法 (M)”或“带阻尼的乘法 (Md)”。
‒ 季节性成分可为“无 (N)”、“加法 (A)”或“乘法 (M)”。
特定模型可用其 ETS(误差、趋势、季节性)来表示。使用“指定状态空间平滑模型”窗口中的复选框为所需模型选择误差、趋势和季节性。点击选择推荐项选中与平台推荐的模型对应的复选框。该窗口打开时会显示选定的推荐模型。点击全选可选中所有复选框,点击取消全选可取消选中所有复选框。
该窗口还包含以下选项:
周期
指定模型拟合过程中要考虑的季节性值。
约束参数
以这样一种方式约束参数,即:观测离当前越远,对模型当前状态的影响就越小。在“状态空间平滑”模型中,在给定所有以前的观测的情况下,时间 t 的预测与截至时间 t 的所有观测的加权和相同。这些权重是参数的函数。因此,约束参数可以确保过去观测的权重趋近零,并且观测距离现在越远,权重接近零的速度就越快。
点击确定时,将拟合指定的一组模型。拟合的每个“状态空间平滑”模型都添加到“模型比较”表中。若在“模型比较”表中选中某个状态空间平滑模型的“报表”复选框,则会显示“状态空间平滑”报表。请参见“状态空间平滑”报表。
转换函数
(仅在“转换函数分析”红色小三角菜单中可用。)显示“指定转换函数模型”窗口。生成转换函数模型与生成 ARIMA 模型相似,都是一个探索、拟合和比较模型的迭代过程。在生成模型前和数据探索过程中,有时预白化数据很有用。请参见预白化。有关转换函数的详细信息,请参见转换函数的统计详细信息。
注意:目前,“转换函数”选项对缺失值提供有限支持。由于“时间序列”平台也将排除的行视为缺失值,因此无法对包含排除行的数据表拟合出转换函数模型。
图 18.7 “指定转换函数模型”窗口
“指定转换函数模型”窗口包含以下部分:
噪声序列阶数
包含噪声序列的规格。小写字母是非季节性多项式的系数,大写字母则是季节性多项式的系数。
选择输入
允许您选择模型的输入序列。
输入序列阶数
包含输入序列的规格。前三个阶数的设置与非季节性多项式有关。接下来的四个阶数的设置与季节性多项式有关。最后的选项用于输入滞后期数。
还有另外三个控制模型拟合的选项:
截距
指定模型是否具有截距。若未选中,则假定 m 为 0。
备择参数化
指定一般回归系数是否要从分子多项式中提取出来。
约束拟合
选择是否对 AR 和 MA 的系数进行约束。
预测周期数
指定用于预测的预测周期数。若有位于数据表末尾的行(它们包含 Y 变量的缺失值和输入变量的非缺失值),则在初始预测设置中使用这些行。这些输入变量的值视为输入变量的将来值。
预测区间
指定预测区间的置信水平。
ARIMA 模型组
显示“ARIMA 模型组”窗口,您可以在其中通过指定阶数范围来拟合各种 ARIMA 或季节性 ARIMA 模型。您将范围输入窗口时,相应更新“总模型数”。
图 18.8 ARIMA 模型组指定窗口
一旦指定模型并点击估计,每个指定模型的“模型报表”即添加至报表窗口。请参见其他时间序列报表。
当您选择“简单移动平均”作为平滑模型时,显示“简单平滑平均规格”窗口。设 w 为简单移动平均 (SMA) 模型中的平滑窗口宽度。令 ft=(yt+yt-1+yt-2+...+yt-(w-2)+yt-(w-1))/w 为某一时间点t, w 个连续观测的平均值。
图 18.9 “简单平滑平均规格”窗口
输入平滑窗口宽度
平滑窗口宽度 w,它定义要平均的连续点数。窗口宽度越大,序列越平滑。
不中心化
平滑化窗口是由通往和包括时间点t在内的各点所构建的,该时间点是该序列被估计的地方。换句话说,ft 是时间 t 的标绘值。
中心化
平滑窗口以时间序列要估计的时间点为中心。
‒ 对于奇数 w,ft 是时间 t-(w-1)/2 的标绘值。
‒ 对于偶数 w,ft 是时间 t-(w-1)/2 的标绘值。保存到数据表时,ft 位于 t-(w-2)/2 处。
偶数项中心化和双平滑
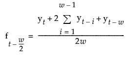
对于偶数 w,平滑窗口无法以正要估计序列的时间点为中心。该选项创建两个几乎中心化的平滑窗口,取它们的平均值。按以下方式计算平滑估计值:

当您选择不是“简单移动平均”的一个平滑模型选项时,显示“平滑模型”规格窗口。窗口标题和可用选项取决于您选择的平滑模型选项。
图 18.10 “平滑模型”规格窗口
预测区间
支持您设置预测区间的预测水平。
每周期观测数
(仅对季节性平滑模型可用。)支持您在季节性平滑模型中设置每周期观测数。
约束
允许您指定在拟合期间要对平滑权重施加的约束类型。以下约束选项可用:
0 到 1
约束平滑权重值处于范围 0 到 1 内。
无约束
允许任意范围的参数。
稳定可逆
约束参数以便等价的 ARIMA 模型是稳定可逆的。
定制
展开对话框以允许设置各个平滑权重的约束。根据权重名称旁边的弹出菜单设置,每个平滑权重可以为界限、固定或无约束。输入固定或界限权重的值时,这些值可以为正负实数。
图 18.11 定制平滑权重
Figure 18.11 中显示的示例具有固定为 0.3 的水平权重 (a),界限为 0.1 和 0.8 的趋势权重 (g)。在该例中,趋势权重的值可以在范围 0.1-0.8 内变动,而水平权重则固定为 0.3。请注意,您可以使用这些定制约束预先指定所有平滑权重。这样就不用从数据估计权重,尽管仍计算预测和残差。