图 16.29 三个设计的设计诊断
|
•
|
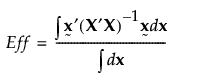
X 是模型矩阵
|
|
•
|
p 是模型中的项数(包括截距)
|
有关计算的详细信息,请参见 Goos and Jones (2011) 中的第 4.3.5 节。

是点
处的相对预测方差。请参见

或 Monte Carlo 抽样中的预测方差中的较大者。因此,同一设计的再次计算可能略有不同。
