Consider the simple model
. The spatial or temporal structure is modeled through the error term, ei. In general, the spatial correlation model can be defined as
and
.
. The spatial or temporal structure is modeled through the error term, ei. In general, the spatial correlation model can be defined as
and
.Let si denote the location of yi, where si is specified by coordinates reflecting space or time. The spatial or temporal structure is typically restricted by assuming that the covariance is a function of the Euclidean distance, dij, between si and sj. The covariance can be written as
, where
represents the correlation between observations yi and yj.
, where
represents the correlation between observations yi and yj.In the case of two or more location coordinates, if f(dij) does not depend on direction, then the covariance structure is isotropic. If it does, then the structure is anisotropic.
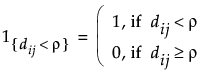
The correlation structures for spatial models available in JMP are shown below. These are parametrized by ρ, which is positive unless it is otherwise constrained.
|
•
|
|
•
|
When the spatial process is second-order stationary, the structures listed in Spatial Correlation Structure define variograms. Borrowed from geostatistics, the variogram is the standard tool for describing and estimating spatial variability. It measures spatial variability as a function of the distance, dij, between observations using the semivariance.
Let Z(s) denote the value of the response at a location s. The semivariance between observations at si and sj is given as follows:
If the process is isotropic, the semivariance depends only on the distance h between points and the function can be written as follows:
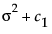
Defined as the value of the semivariogram at the plateau reached for larger distances. It corresponds to the variance of an observation. In models with no nugget effect, the sill is
. In models with a nugget effect, the sill is
, where c1 represents the nugget. The partial sill is defined as
.
. In models with a nugget effect, the sill is
, where c1 represents the nugget. The partial sill is defined as
.Defined as the distance at which the semivariogram reaches the sill. At distances less than the range, observations are spatially correlated. For distances greater than or equal to the range, spatial correlation is effectively zero. In spherical models, ρ is the range. In exponential models, 3ρ is the practical range. In Gaussian models,
is the practical range. The practical range is defined as the distance where covariance is reduced to 95% of the sill.
is the practical range. The practical range is defined as the distance where covariance is reduced to 95% of the sill.In Fit Mixed Report - Spatial Spherical with Nugget, the repeated effects covariance parameter estimates represent the various semivariogram features:
For a given isotropic spatial structure, the estimated variogram is obtained using a nonlinear least squares fit of the observed data to the appropriate function in Spatial Correlation Structure.
To compute the empirical semivariance, the distances between all pairs of points for the variables selected for the variogram covariance are computed. The range of the distances is divided into 10 equal intervals. If the data do not allow for 10 intervals, then as many intervals as possible are constructed.
Distance classes consisting of pairs of points are constructed. The hth distance class consists of all pairs of points whose distances fall in the hth interval.
Ch
Z(x)
γ(h)
The semivariance function, γ, is defined as follows:







Variogram


. The Residual times the Nugget is
.


is an estimate of the nugget effect.