このバージョンのヘルプはこれ以降更新されません。最新のヘルプは https://www.jmp.com/support/help/ja/15.2   からご覧いただけます。


非欠測値の合計を、非欠測値の個数で割った値です。なお、[重み][度数]の列を起動ウィンドウで指定した場合は、次のように計算されます。
平均周りの分布の散らばりを示す指標です。通常はsで表されます。標準偏差は標本から計算された分散s2の平方根です。
標準偏差sを、Nの平方根で割ったものです。ただし、[重み]や[度数]の列を起動ウィンドウで指定した場合は、重みや度数の合計の平方根で割ります。
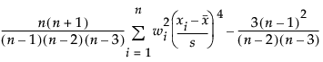
上の式で、wiは重みを表す係数(重み付けをしない場合は1)です。
ここで、wiは重みです(重み付けをしない場合、すべての重みは1です)。この式によって求められた尖度は、正規分布の場合には0となります。正規分布のときにゼロとなる尖度は、「過剰尖度」(excess kurtosis)と呼ばれることがあります。