JMP 14.2オンラインマニュアル
はじめてのJMP
JMPの使用法
基本的な統計分析
グラフ機能
プロファイル機能
実験計画(DOE)
基本的な回帰モデル
予測モデルおよび発展的なモデル
多変量分析
品質と工程
信頼性/生存時間分析
消費者調査
スクリプトガイド
スクリプト構文リファレンス
JMP iPad Help (英語)
JMP Interactive HTML (英語)
機能インデックス
JMP統計機能ガイド
このバージョンのヘルプはこれ以降更新されません。最新のヘルプは
https://www.jmp.com/support/help/ja/15.2
からご覧いただけます。
基本的な統計分析
•
一変量の分布
•
「一変量の分布」プラットフォームの統計的詳細
• 正規分位点プロット
前へ
•
次へ
正規分位点プロット
各値の経験累積確率は、次のような式で計算されます。
ここで、
r
i
はデータ値の順位、
N
は非欠測値の個数を表します。
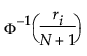
正規分位点の値は次のような式で計算されます。
ここで、
Φ
は正規分布の累積確率分布関数です。
これらの正規分位点の値は、正規分布を仮定したときの順序統計量の期待値に対するVan der Waerden の近似値です。