Wilcoxon符号付順位検定では、同順位も考慮されます。また、データ値にゼロがある場合は、Prattの方法で計算されます。Lehmann and D’Abrera (2006)、Pratt (1959)、およびCureton(1967)を参照してください。
|
•
|
N個の観測値を、以下のように表すとします。
|
|
•
|
内部的な計算では、次式による観測値と仮説値mとの差が使われます。
|
|
•
|
2つの変数のそれぞれに、N個の観測値があるとします。
|
|
•
|
また、差の絶対値に同じ値があった場合には、それらには平均順位(中間順位)を与えます。
|
|
•
|
|
•
|
R+は、正の符号付順位の合計。
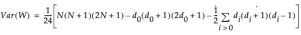
の場合は、正確なp値が計算されます。N > 20の場合は、以下のように、Studentのt分布に近似して計算されます。同順位のペアに対して、修正が行われることに注意してください。Iman(1974)およびLehmann and D’Abrera(2006)を参照してください。
Var(W)の計算式の最後の和は、同順位のペアに対する修正です。i > 0に対するdiは、符号付順位が0以外で、かつ、符号付順位が同じグループに属するデータの個数を示します (符号付順位に同順位がまったくなければ、すべてがdi = 1となるので、この項は0となります)。
を、小さい値から順番に順位付けします。
の順位(中間順位)を
の符号付順位は次のように定義されます。
が正の場合、符号付順位は
が0の場合、符号付順位は0となります。
が負の場合、符号付順位は



