JMP 14.2オンラインマニュアル
はじめてのJMP
JMPの使用法
基本的な統計分析
グラフ機能
プロファイル機能
実験計画(DOE)
基本的な回帰モデル
予測モデルおよび発展的なモデル
多変量分析
品質と工程
信頼性/生存時間分析
消費者調査
スクリプトガイド
スクリプト構文リファレンス
JMP iPad Help (英語)
JMP Interactive HTML (英語)
機能インデックス
JMP統計機能ガイド
このバージョンのヘルプはこれ以降更新されません。最新のヘルプは
https://www.jmp.com/support/help/ja/15.2
からご覧いただけます。
基本的な統計分析
•
一変量の分布
•
「一変量の分布」プラットフォームの統計的詳細
• 標準偏差の検定
前へ
•
次へ
標準偏差の検定
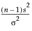
検定統計量は次の式で計算されます。
検定統計量は、母集団が正規分布に従うとき、自由度
n
- 1のカイ2乗分布に従います。
「最小p値」は、両側検定の
p
値で、次の式で計算されます。
2×min(p1,p2)
ここで、p1は下側の片側検定の
p
値で、p2は上側の片側検定の
p
値です。